在数学中,向量(也称为欧几里得向量、几何向量、矢量),指具有大小(magnitude)和方向的量。它可以形象化地表示为带箭头的线段。箭头所指:代表向量的方向;线段长度:代表向量的大小。与向量对应的量叫做数量(物理学中称标量),数量(或标量)只有大小,没有方向。
代数表示:一般印刷用黑体的小写英文字母(a、b、c等)来表示,手写用在a、b、c等字母上加一箭头(→)表示,也可以用大写字母AB、CD上加一箭头(→)等表示。
几何表示:向量可以用有向线段来表示。有向线段的长度表示向量的大小,向量的大小,也就是向量的长度。长度为0的向量叫做零向量,记作长度等于1个单位的向量,叫做单位向量。箭头所指的方向表示向量的方向。
坐标表示:在平面直角坐标系中,分别取与x轴、y轴方向相同的两个单位向量i,j作为一组基底。a为平面直角坐标系内的任意向量,以坐标原点O为起点P为终点作向量a。由平面向量基本定理可知,有且只有一对实数(x,y),使得a=xi+yj,因此把实数对(x,y)叫做向量a的坐标,记作a=(x,y)。这就是向量a的坐标表示。其中(x,y)就是点 的坐标。向量a称为点P的位置向量。
有向线段:A规定若线段 AB的端点为起点, B为终点,则线段就具有了从起点 A到终点 B的方向和长度。具有方向和长度的线段叫做有向线段。
向量的模:向量的大小,也就是向量的长度(或称模)。向量a的模记作|a|。
负向量:如果向量AB与向量CD的模相等且方向相反,那么我们把向量AB叫做向量CD的负向量,也称为相反向量。
零向量:长度为0的向量叫做零向量,记作0。零向量的始点和终点重合,所以零向量没有确定的方向,或说零向量的方向是任意的。
相等向量:长度相等且方向相同的向量叫做相等向量.向量a与b相等,记作a=b。
向量的运算


在数学中,矩阵(Matrix)是一个按照长方阵列排列的复数或实数集合,即描述线性代数中线性关系的参数,即矩阵是一个线性变换,可以将一些向量转换为另一些向量。
初等代数中,y=ax表示的是x到y的一种映射关系,其中a是描述这中关系的参数。
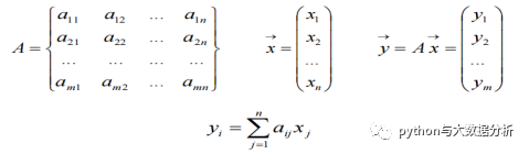
线性代数中,Y=AX表示的是向量X和Y的一种映射关系,其中A是描述这种关系的参数。

矩阵运算-加减法

矩阵运算-数乘

矩阵运算-矩阵与向量乘法

矩阵运算-矩阵与矩阵乘法

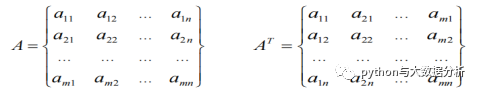
矩阵运算-矩阵转置





