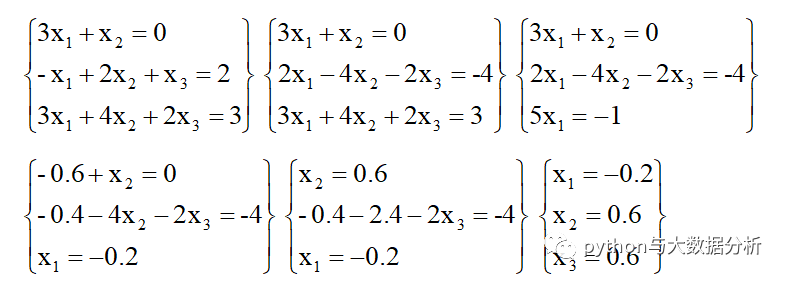
关于消元法求解线性方程组

可将系数和结果转换为矩阵,并可令B为增广矩阵

将A、B通过消元法求解

所有的m*n的矩阵经过一系列初等变换,都可以变成如下的形式:

r就是最简矩阵当中非零行的行数,它也被称为矩阵的秩。我们把A矩阵的秩记作: R(A),那些方程组中真正是干货的方程个数,就是这个方程组对应矩阵的秩,阶梯形矩阵的秩就是其非零行数!
一个矩阵经过初等变换,它的行列式保持不变。如果行列式当中存在某一行或者某一列全部为0,那么它的行列式为0。
因此,对于n阶矩阵A而言,如果它的秩R(A)<n,那么|A|=0。
可逆矩阵的秩就等于矩阵的阶数,不可逆矩阵的秩小于矩阵的阶数。所以,可逆矩阵又称为满秩矩阵,不可逆矩阵又称为降秩矩阵。
线性方程组的解
我们理解了矩阵的秩的概念之后,看看它在线性方程组上的应用。
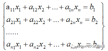
假设当下有一个n元m个等式的方程组:

我们可以将它写成矩阵相乘的形式:Ax = b
其中A是一个m*n的矩阵,

我们利用系数矩阵A和增广矩阵B=(A,b)的秩,可以和方便地看出线性方程组是否有解。我们先来看结论:
当R(A) < R(B)时无解
当R(A) = R(B) = n时,有唯一解
当R(A) = R(B) < n时,有无数解
#!/usr/bin/env python# -*- coding: UTF-8 -*-# _ooOoo_# o8888888o# 88" . "88# ( | - _ - | )# O\ = O# ____/`---'\____# .' \\| |// `.# \\|||:|||// \# _|||||-:- |||||- \# | | \\\ - | |# | \_| ''\---/'' | _/ |# \ .-\__ `-` ___/-. # ___`. .' --.--\ `. . __# ."" '< `.___\_<|>_/___.' >'"".# | | : `- \`.;`\ _ `;.`/ - ` : | |# \ \ `-. \_ __\ __ _/ .-` # ==`-.____`-.___\_____/___.-`____.-'==# `=---=''''@Project :pythonalgorithms @File :Rankofmatrix.py@Author :不胜人生一场醉@Date :2021/8/22 22:56 '''import numpy as npA = np.array([[3, 1, 0], [-1, 2, 1], [3, 4, 2]])b = np.array([0, 2, 3])B = np.array([[3, 1, 0, 0], [-1, 2, 1, 2], [3, 4, 2, 3]])# A的秩print("A的秩为{}".format(np.linalg.matrix_rank(A)))# A的秩为3# B的秩
print("B的秩为{}".format(np.linalg.matrix_rank(B)))
# B的秩为3
# 求解方程
x = np.linalg.solve(A, b)
print("x={}".format(x))
# x=[-0.2 0.6 0.6]
# 可将结果带入验证方程
# 3*-0.2 + 1*0.6 + 0*0.6 = 0
# -1*-0.2 + 2*0.6 + 1*0.6 = 2
# 3*-0.2 + 4*0.6 + 2*0.6 = 3
文章转载自追梦IT人,如果涉嫌侵权,请发送邮件至:contact@modb.pro进行举报,并提供相关证据,一经查实,墨天轮将立刻删除相关内容。




