
灰色系统理论是一种研究少数据、贫信息不确定性问题的新方法,灰色预测模型是灰色系统理论的一个重要研究领域。其中,GM系列模型是基本模型,尤其是GM(1,1)模型,应用十分广泛。传统GM(1,1)模型建模对象主要是具有指数或近似指数增长规律的序列,对应非单调增长数据,模拟精度较差。
对于非单调的摆动发展序列或有饱和的S形序列,可以考虑建立GM(2,1)。
一.GM(1,1)
1.理论
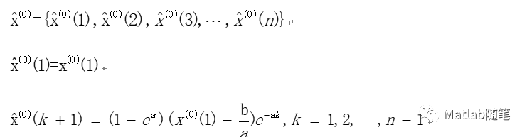
1.建立时间序列

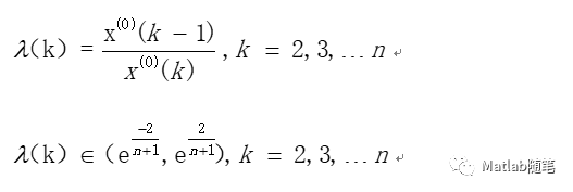
2.检验数据是否符合要求
当采用GM(1,1)模型的各种形式进行模拟精度达不到要求时,可以考虑对残差序列建立GM(1,1)模型,对原来的模型进行修正,以提高模拟精度。

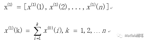
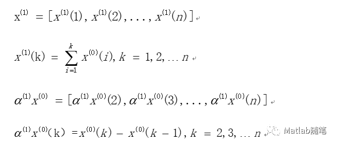
3.计算一次累加生成序列

4.计算邻均值等权数列

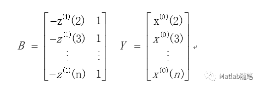
5.构造矩阵B、Y

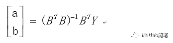
6.计算发展系数a和灰作用量b

7.计算模型拟合值

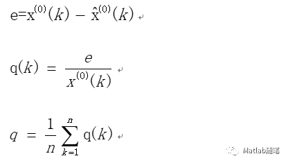
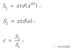
8.模型精度评定
①方法1:残差检验

②方法2:后验差检验

③方法3:小误差概率检验

9.查表定级

2.代码:
方法1:(利用公式)
clear;clc;% 建立时间序列x0 = [89677 99215 109655 120333 135823 159878 182321 209407 246619]';% 需要预测几期数据count = 2;% 检验数据是否符合要求n1 = length(x0);lmd = x0(1:end-1)./x0(2:end);flag = min(lmd)>exp(-2/(n1+1)) & max(lmd)<exp(2/(n1+1));if ~flagerror('数据级比不符合要求');end% 计算一次累加生成序列x1 = cumsum(x0);% 计算邻均值等权数列z1 = 0.5 * ( x1(1:end-1) + x1(2:end) );% 构造矩阵B、YB = [-z1,ones(n1-1,1)];Y = x0(2:n1);% 计算发展系数a和灰作用量bu = (B'*B)\(B'*Y);a = u(1);b = u(2);% 计算模型拟合值k = (1:n1-1+count)';x0_hat = [x0(1);(1-exp(a))*(x0(1)-b/a)*exp(-a*k)];disp('预测数据:')x0_hat(n1+1:end)% 模型精度评定e = x0(1:n1)-x0_hat(1:n1);s1 = std(x0);p = length(find(e-mean(e)<0.6745*s1))/n1;if p>=0.95disp('精度等级:1级(好)');elseif p>=0.80disp('精度等级:2级(合格)');elseif p>=0.7disp('精度等级:3级(勉强)');elsedisp('精度等级:4级(不合格)');end% 绘图说明hold onp1=plot(1:n1,x0,'ro','LineWidth',2.5);p2=plot(1:n1+count,x0_hat,'bo','LineWidth',1.5);p3=plot(1:n1+count,x0_hat,'b-','LineWidth',1.5);legend([p1,p2],'实测值','预测值','FontSize',18);title('GM(1,1)');hold off
方法2:(利用微分方程)
clear;clc;% 建立时间序列x0 = [89677 99215 109655 120333 135823 159878 182321 209407 246619]';% 需要预测几期数据count = 2;% 检验数据是否符合要求n1 = length(x0);lmd = x0(1:end-1)./x0(2:end);flag = min(lmd)>exp(-2/(n1+1)) & max(lmd)<exp(2/(n1+1));if ~flagerror('数据级比不符合要求');end% 计算一次累加生成序列x1 = cumsum(x0);% 计算邻均值等权数列z1 = 0.5 * ( x1(1:end-1) + x1(2:end) );% 构造矩阵B、YB = [-z1,ones(n1-1,1)];Y = x0(2:n1);% 计算u=[发展系数a,灰作用量b]u = (B'*B)\(B'*Y);% 计算模型拟合值syms x(t)x=dsolve(diff(x)+u(1)*x == u(2),x(0)==x1(1));xt=vpa(x,2);x1_hat=subs(x,t,0:n1-1+count);x1_hat=(double(x1_hat))';x0_hat=[x0(1);diff(x1_hat)];disp('预测值:')x0_hat(n1+1:end)% 模型精度评定e = x0(1:n1)-x0_hat(1:n1);s1 = std(x0);p = length(find(e-mean(e)<0.6745*s1))/n1;if p>=0.95disp('精度等级:1级(好)');elseif p>=0.80disp('精度等级:2级(合格)');elseif p>=0.7disp('精度等级:3级(勉强)');elsedisp('精度等级:4级(不合格)');end% 绘图说明hold onp1=plot(1:n1,x0,'ro','LineWidth',2.5);p2=plot(1:n1+count,x0_hat,'bo','LineWidth',1.5);p3=plot(1:n1+count,x0_hat,'b-','LineWidth',1.5);legend([p1,p2],'实测值','预测值','FontSize',18);title('GM(1,1)');hold off

二.GM(2,1)
1.理论
1.建立时间序列

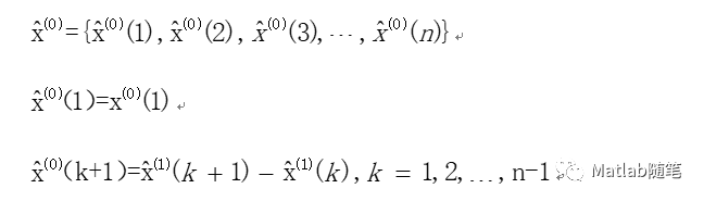
2.计算一次累加生成序列、一次累减生成序列

3.计算邻均值等权数列
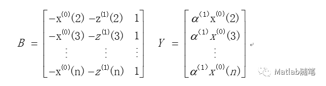
4.构造矩阵B、Y

5.计算发展系数a和灰作用量b

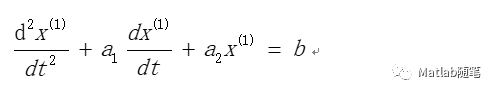
6.求解白化方程

7.计算模型拟合值

8.模型精度评定同GM(1,1)
2.代码
clear;clc;% 建立时间序列x=-10:8;x0=(x.^2)';n1 = length(x0);% 需要预测几期数据count = 2;% 计算一次累加生成序列x1 = cumsum(x0);% 计算一次累减生成序列alpx0 = x0(2:end)-x0(1:end-1);% 计算邻均值等权数列z1 = 0.5 * ( x1(1:end-1) + x1(2:end) );% 构造矩阵B、YB = [ -x0(2:end),-z1,ones(n1-1,1)];Y = alpx0;% 计算发展系数a和灰作用量bu = (B'*B)\(B'*Y);% 计算模型拟合值syms x(t)x=dsolve(diff(x,2)+u(1)*diff(x)+u(2)*x==u(3),x(0)==x1(1),x(n1-1)==x1(n1));xt=vpa(x,2);x1_hat=subs(x,t,0:n1-1+count);x1_hat=(double(x1_hat))';x0_hat = [x0(1);diff(x1_hat)];disp('预测数据:')x0_hat(n1+1:end)% 模型精度评定e = x0(1:n1)-x0_hat(1:n1);s1 = std(x0);p = length(find(e-mean(e)<0.6745*s1))/n1;if p>=0.95disp('精度等级:1级(好)');elseif p>=0.80disp('精度等级:2级(合格)');elseif p>=0.7disp('精度等级:3级(勉强)');elsedisp('精度等级:4级(不合格)');end% 绘图说明hold onp1=plot(1:n1,x0,'ro','LineWidth',2.5);p2=plot(1:n1+count,x0_hat,'bo','LineWidth',1.5);p3=plot(1:n1+count,x0_hat,'b-','LineWidth',1.5);legend([p1,p2],'实测值','预测值','FontSize',18);title('GM(2,1)');hold off

说明:
1.本篇文章的部分内容曾给其他公众号投稿,本文又在原来的基础上增加了一些内容,难免出现相似,请读者见谅。
2.懒得复制的,后台回复“灰色预测”,获取代码
3.最后,欢迎“点赞、在看、分享”!
参考资料:
[1]《数学建模算法与应用(第2版)》-司守奎
[2]《Matlab在数学建模中的应用》-卓金武



点个在看你最好看

文章转载自Matlab随笔,如果涉嫌侵权,请发送邮件至:contact@modb.pro进行举报,并提供相关证据,一经查实,墨天轮将立刻删除相关内容。




