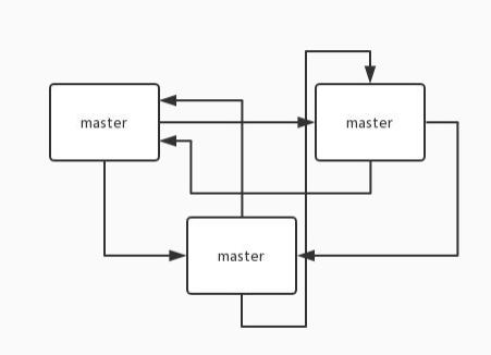
redis 集群模式的工作原理能说一下么?在集群模式下, redis 的 key 是如何寻址的?分布式寻址都有哪些算法?了解一致性 hash 算法吗?
自动将数据进行分片,每个 master 上放一部分数据 提供内置的高可用支持,部分 master 不可用时,还是可以继续工作的





cluster-node-timeout *cluster-slave-validity-factor,那么就没有资格切换成 master。
了解什么是 redis 的雪崩、穿透和击穿?redis 崩溃之后会 怎么样?系统该如何应对这种情况?如何处理 redis 的穿透?



如何保证缓存与数据库的双写一致性?

读请求长时阻塞
10 *100 = 1000ms = 1s后,才能得到数据,这个时候就导致读请求的长时阻塞。
读请求并发量过高
多服务实例部署的请求路由
热点商品的路由问题,导致请求的倾斜
redis 的并发竞争问题是什么?如何解决这个问题?了解redis 事务的 CAS 方案吗?

生产环境中的 redis 是怎么部署的?
- END -
▐往期推荐

如果你觉得文章不错,文末的赞 👍 又回来啦,记得给我「点赞」和「在看」哦~
文章转载自JAVA高级架构,如果涉嫌侵权,请发送邮件至:contact@modb.pro进行举报,并提供相关证据,一经查实,墨天轮将立刻删除相关内容。





