
Photo by Jon Tyson on Unsplash
前言
CNN和RNN,作为深度学习的两大护法,促进了深度学习近几年在Computer Vision、NLP等领域席卷全世界。相比CNN,RNN其实更为“骨骼精奇”,它开创性的递归网络结构,让模型具有了“记忆”,使得我们向着“AI”更近了一步。虽然最近各种Transformer结构有了超越RNN之势,但是我依然觉得RNN是非常值得学习和发展的。
今天,我们以LSTM为例,来谈一个RNN中的一个具体的问题。
我们知道,在Keras的LSTM实现中,有两个参数return_sequences
和return_state
。这两个参数的实际意义是什么?在什么场景下会用到呢?
PS:Keras是我最喜爱的深度学习框架了,其API的设计非常精妙和优雅,François Chollet是不愧是大师中的大师。相比传统的Tensorflow和PyTorch,Keras的API才是真正的“Deep Learning for Human”。另外,看到Tensorflow 2.0也开始以tf.keras
作为第一公民,我非常欣慰。关于我对这几个框架的理解,后面再以专题文章和大家分享。
LSTM介绍
Long Short Term Memory networks – usually just called “LSTMs” – are a special kind of RNN, capable of learning long-term dependencies. They were introduced by Hochreiter & Schmidhuber (1997)[1] , and were refined and popularized by many people in following work.They work tremendously well on a large variety of problems, and are now widely used.
LSTM是为了解决普通RNN网络在实际实践中出现的“梯度消失”等问题而出现的。这里我们略过里面的细节,重点看看单个LSTM cell的输入输出情况。

从上图可以看出,单个LSTM cell其实有2个输出的,一个是h(t),一个是c(t)。这里的h(t)称为hidden state,c(t)称为cell state。
这个命名其实我认为是不太好的。熟悉全连接神经网络的同学,一定会把h(t)跟hidden layer相混淆。其实,这个h(t)才是LSTM的真正output,c(t)才是LSTM的内部”隐藏”状态。
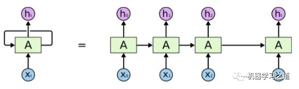
我们进一步把LSTM网络展开来看。每一个时间节点timestep,输入一个x(t),cell里面的c(t)做一次更新,输出h(t)。紧接着下一个timestep,x(t+1)、h(t)和c(t)继续输入到cell,输出为h(t+1)和c(t+1),如下图:

因此,Keras中的return_sequences
和return_state
,就是跟h(t)和c(t)相关。
Return Sequences
接下来我们来点hands-on的代码,来具体看看这两个参数的作用。Let's get our hands dirty:
实验一
试验代码中,return_sequences
和return_state
默认都是false,输入shape为(1,3,1),表示1个batch,3个timestep,1个feature
from keras.models import Model
from keras.layers import Input
from keras.layers import LSTM
from numpy import array
# define model
inputs1 = Input(shape=(3, 1))
lstm1 = LSTM(1)(inputs1)
model = Model(inputs=inputs1, outputs=lstm1)
# define input data
data = array([0.1, 0.2, 0.3]).reshape((1,3,1))
# make and show prediction
print(model.predict(data))
输出结果为
[[-0.0953151]]
表示在经历了3个time step的输入后,LSTM返回的hidden state,也就是上文中的h(t)。由于输出的是网络最后一个timestep的值,因此结果是一个标量scalar。
实验二
我们加上参数return_sequences=True
lstm1 = LSTM(1, return_sequences=True)(inputs1)
输出结果为
[[[-0.02243521]
[-0.06210149]
[-0.11457888]]]
我们看到,输出了一个array,长度等于timestep,表示网络输出了每个timestep的h(t) 。
总结一下,return_sequences
即表示:LSTM的输出h(t),是输出最后一个timestep的h(t),还是把所有timestep的h(t)都输出出来。在实际应用中,关系到网络的应用场景是many-to-one还是many-to-many,非常重要。
Return State
实验三
接下来我们继续实验return_state
lstm1, state_h, state_c = LSTM(1, return_state=True)(inputs1)
输出结果为
[array([[ 0.10951342]], dtype=float32),
array([[ 0.10951342]], dtype=float32),
array([[ 0.24143776]], dtype=float32)]
注意,输出是一个列表list,分别表示 最后一个time step的hidden state , 最后一个time step的hidden state(跟上面一样) , 最后一个time step的cell state(注意就是上文中的c(t))。
可以看出,return_state
就是控制LSTM中的c(t)输出与否。
实验四
我们最后看看 return_sequences
和return_state
全开的情况。
lstm1, state_h, state_c = LSTM(1, return_sequences=True, return_state=True)
输出结果为
[array([[[-0.02145359],
[-0.0540871 ],
[-0.09228823]]], dtype=float32),
array([[-0.09228823]], dtype=float32),
array([[-0.19803026]], dtype=float32)]
输出列表的意义其实跟上面的实验三一致,只是第一个hidden state h(t)变成了所有timestep的,因此也是长度等于timestep的array。
Time Distributed
最后再讲一讲Keras中的TimeDistributed
。这个也是在RNN中非常常用但比较难理解的概念,原作者解释说
TimeDistributedDense applies a same Dense (fully-connected) operation to every timestep of a 3D tensor. 其实它的主要用途在于Many-to-Many:比如输入shape为(1, 5, 1),输出shape为(1, 5, 1)
model = Sequential()
model.add(LSTM(3, input_shape=(length, 1), return_sequences=True))
model.add(TimeDistributed(Dense(1)))
根据上面解读,return_sequences=True
,使得LSTM的输出为每个timestep的hidden state,shape为(1, 5, 3)
现在需要将这个(1 ,5, 3)的3D tensor变换为(1, 5, 1)的结果,需要3个Dense layer,分别作用于每个time step的输出。
而使用了TimeDistributed
后,则把一个相同的Dense layer去分别作用,可以使得网络更为紧凑,参数更少的作用。
如果是在many-to-one的情况,return_sequence=False
,则LSTM的输出为最后一个time step的hidden state,shape为(1, 3)。此时加上一个Dense layer, 不用使用TimeDistributed
,就可以将(1, 3)变换为(1, 1)。
总结
本文主要通过一些实际的代码案例,解释了Keras的LSTM API中常见的两个参数return_sequences
和return_state
的原理及作用,在Tensorflow及PyTorch,也有相通的,希望能够帮助大家加深对RNN的理解。
参考资料
Hochreiter & Schmidhuber (1997): http://www.bioinf.jku.at/publications/older/2604.pdf
最后
欢迎订阅我的微信公众号“机器学习之道”,第一时间免费收到文章更新。





