
1. 图是表示物件与物件之间的关系的数学对象,是图论的基本研究对象,这里只是了解点最最基础的东西。如果图的每条边都具有方向性,那么称这种图为有向图,反之为无向图。然后,如果在无向图中,每对顶点之间都有一条边相连,或者在有向图中,每对顶点有两条有向边相连,则称为完全图。
2. 图的遍历有深度优先和广度优先两种方式。

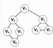
对于上图的结构,若采用深度优先的方式遍历,则首先访问出发顶点V,然后依次从V出发搜索V的任意一个邻接点W,如果W没有访问过,则从该点出发继续深度优先遍历。遍历结果可以为:V1, V2, V4, V8, V5, V3, V6, V7。
如果采用广度优先方式遍历,则先访问出发顶点V,然后访问与顶点V邻接的全部未访问顶点W, X, Y..., 随后再依次访问 W, X, Y...邻接的未访问的顶点,所以遍历结果可以为:V1, V2, V3, V4, V5, V6, V7, V8。
3. 图和树的的最大区别在于前者是有环路的。将图转换为其最小生成树的过程就是去掉图中的一部分边,使之成为权值最小的树。
文章转载自菜鸟程序员成长记,如果涉嫌侵权,请发送邮件至:contact@modb.pro进行举报,并提供相关证据,一经查实,墨天轮将立刻删除相关内容。




