二叉树遍历的基础知识是软件评测师考试的重要考点,经常出现在上午场的客观选择题当中。遍历是按某种策略访问树中的每个结点,且仅访问一次的过程。由于二叉树所具有的递归性质,一棵非空的二叉树是由根结点、左子树和右子树三部分构成的,因此若能依次遍历这三部分,也就遍历了整棵二叉树。按照先遍历左子树后遍历右子树的约定,根据访问根结点位置的不同,可得到二叉树的先序、中序和后序3种遍历方法。下面就该知识点并结合例题进行总结学习。

一、先序遍历
先序遍历就是先遍历根节点,然后遍历左子树,最后遍历右子树。对于左子树或者右子树本身,也是符合先序遍历的顺序的,也就是遍历的递归性质:子树本身也是作为一颗单独的二叉树看待的。对于算术表达式,先序遍历后得到前缀表达式。
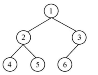
对于上图进行先序遍历,先访问根节点,也就是1;然后访问左子树,此时左子树本身也可以看成一棵树,也符合先序遍历的递归性质,所以左子树的先序遍历顺序为:2、4、5;最后访问右子树,此时右子树本身也可以看成一棵树,也符合先序遍历的递归性质,所以右子树的先序遍历顺序为:3、6;
综上可得整个二叉树的先序遍历顺序为:1、2、4、5、3、6。
二、中序遍历
中序遍历就是先遍历左子树,然后遍历根节点,最后遍历右子树。对于左子树或者右子树本身,也是符合中序遍历的顺序的,也就是遍历的递归性质:子树本身也是作为一颗单独的二叉树看待的。对于算术表达式,中序遍历后得到中缀表达式,此时需要注意的是,中缀表达式是需要根据具体情况通过添加括号来表示优先级的,也是我们看着最顺眼的一种形式。
对于上图进行中序遍历,先访问左子树,此时左子树本身也可以看成一棵树,也符合中序遍历的递归性质,所以左子树的中序遍历顺序为:4、2、5;然后访问根节点,也就是1;最后访问右子树,此时右子树本身也可以看成一棵树,也符合中序遍历的递归性质,所以右子树的中序遍历顺序为:6、3;
综上可得整个二叉树的中序遍历顺序为:4、2、5、1、6、3。
三、后续遍历
后序遍历就是先遍历左子树,然后遍历右子树,最后遍历根节点。对于左子树或者右子树本身,也是符合后序遍历的顺序的,也就是遍历的递归性质:子树本身也是作为一颗单独的二叉树看待的。对于算术表达式,后序遍历后得到后缀表达式,后缀表达式又叫做逆波兰式。例如对于算术表达式:a+b-c*d。其后缀表达式计算过程为:
(1)先把字母按顺序列出来,即abcd;
(2)然后按照计算的优先级往字母后面加符号。此时按照优先级应该先计算c*d,所以先往cd后面加一个*,即:abcd*,此时cd*就相当于和a一样的一个字符值。
(3)然后计算a+b,所以往ab后面加一个+,即ab+cd*,此时ab+就相当于和a一样的一个字符值。
(4)最后计算a+b的结果减去c*d的结果,也就是往最后加一个-,即ab+cd*-。
对于上图进行后序遍历,先访问左子树,此时左子树本身也可以看成一棵树,也符合后序遍历的递归性质,所以左子树的后序遍历顺序为:4、5、2;然后访问右子树,此时右子树本身也可以看成一棵树,也符合后序遍历的递归性质,所以右子树的后序遍历顺序为:6、3;最后访问根节点,也就是1;
综上可得整个二叉树的后序遍历顺序为:4、5、2、6、3、1。
下面是近几年对该知识点考察过的真题,以后仍是考试出题的重点,大家要重视起来。
【2018年第17-18题】某算术表达式用二叉树表示如下,该算术表达式的中缀式为( 1 ),其后缀式为( 2 )。

(1)
A、a-b+c*d
B、a-(b+c)*d
C、(a-(b+c))*d
D、a-(b+c*d)
(2)
A、abc+-d*
B、abcd*+-
C、ab-c+d*
D、abcd+*-
解析:本题考查二叉树的基础知识。
中序遍历可以得到中缀式,先中序遍历根结点的左子树,此时左子树本身也可以看成是一棵二叉树,也符合中序遍历的性质,中序遍历左子树可得a-(b+c);再访问根结点*,最后中序遍历根结点的右子树d。综上可得该二叉树最后中序遍历的结果为:(a-(b+c))*d。
后序遍历可以得到后缀式,先后序遍历根结点的左子树,此时左子树本身也可以看成是一棵二叉树,也符合后序遍历的性质,后序遍历左子树可得abc+-;再后序遍历根结点的右子树d,再访问根结点*。综上可得该二叉树后序遍历的结果为:abc+-d*。
故正确答案为:(1)C (2)A
【2019年第24题】若某二叉树的先序遍历序列是ABDCE,中序遍历序列是BDACE,则该二叉树为( )。
A、

B、

C、

D、

解析:本题考查二叉树遍历的基础知识。
对于这一类题只需要依次验证各个选项即可。
选项A:先序遍历的结果为: ABDEC;中序遍历的结果为: DBEAC;
选项B:先序遍历的结果为: ABCDE;中序遍历的结果为: BADCE;
选项C:先序遍历的结果为: ABDCE;中序遍历的结果为: BDAEC;
选项D:先序遍历的结果为: ABDCE;中序遍历的结果为: BDACE;
最终选项D符合题目要求,故正确答案为:D
作者唯一官方个人微信公众号(昊洋与你一起成长):HYJY20180101
写于2021年10月8日
作者:昊洋讲师
版权所有,侵权必究




