各位学员大家好,大家在学习程序设计语言的时候,树结构和表达式经常结合起来考察,树结构在以后的考试中尤其重要。为了让大家快速掌握这方面的知识点,接下来就带领大家一起来学习一下!
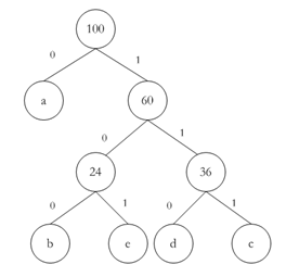
例题1:某算术表达式用二叉树表示如下,该算术表达式的中缀式为( 1 ),其后缀式为( 2 )。

1、 A、a-b+c*d
B、a-(b+c)*d
C、(a-(b+c))*d
D、a-(b+c*d)
2、 A、abc+-d*
B、abcd*+-
C、ab-c+d*
D、abcd+*-
【昊洋详解】:本题考查二叉树和算术表达式的基础知识。
树:是n (n≥0)个结点的有限集合,当n=0时称为空树。在任一非空树(n>0) 中,有且仅有一个称为根的结点,其余结点可分为m (m≥0)个互不相交的有限子集T1, T2,…, Tm,其中,每个Ti又都是一棵树,并且称为根结点的子树。树的定义是递归的,它表明了树本身的固有特性,也就是一棵树由若干棵子树构成,而子树又由更小的子树构成。
二叉树:是n (n≥0)个结点的有限集合,它或者是空树(n=0), 或者是由一个根结点及两棵不相交的且分别称为左、右子树的二叉树所组成。可见,二叉树同样具有递归性质。
需要特别注意的是,尽管树和二叉树的概念之间有许多联系,但它们是两个不同的概念。树和二叉树之间最主要的区别是:二叉树中结点的子树要区分左子树和右子树,即使在结点只有一棵子树的情况下,也要明确指出该子树是左子树还是右子树。另外,二叉树结点最大度为2,而树中不限制结点的度数。
有关中缀式和后缀式的问题,首先需要了解一下二叉树的三种遍历方式。
前序遍历(对应前缀式):先访问根结点,再依次按前序遍历的方式访问根结点的左子树、右子树,子树本身也适用本规则。
中序遍历(对应中缀式):先中序遍历根结点的左子树,再访问根结点,再中序遍历根结点的右子树,子树本身也适用本规则。其中中缀式最符合我们常规对表达式的书写方式,为了表示优先级,经常还需要加小括号。
后序遍历(对应后缀式):先后序遍历根结点的左子树,再后序遍历根结点的右子树,再访问根结点,子树本身也适用本规则。其中后缀表达式也叫做逆波兰式。
二叉树采用中序遍历得中缀表达式:(a-(b+c))*d,采用后序遍历得后缀表达式:abc+-d*。
故本题目的正确答案为:1-C 2-A 。
例题2:堆是一种数据结构,分为大顶堆和小顶堆两种类型。大(小)顶堆要求父元素大于等于(小于等于)其左右孩子元素。则( 1 )是一个小顶堆结构。堆结构用二叉树表示,则适宜的二叉树类型为( 2 )。对于10个结点的小顶堆,其对应的二叉树的高度(层数)为( 3 )。堆排序是一种基于堆结构的排序算法,该算法的时间复杂度为( 4 )。
1、A、10,20,50,25,30,55,60,28,32,38
B、10,20,50,25,38,55,60,28,32,30
C、60,55,50,38,32,30,28,25,20,10
D、10,20,60,25,30,55,50,28,32,38
2、 A、普通二叉树
B、完全二叉树
C、二叉排序树
D、满二叉树
3、 A、3
B、4
C、5
D、6
4、 A、log2n
B、nlog2n
C、n
D、n²
【昊洋详解】:本题考查二叉树的基础知识。
对于n个元素的关键字序列{K1,K2,…,Kn},当目仅当满足Ki<=K2i且Ki<=K2i+1(1<i<n/2),则称该序列为小顶堆。若将其中的"<="换为">="则称其为大顶堆。将元素按照上述的公式依次带入A选项,发现10<=20,10<=50,20<=25,20<=25,50<=55,50<=60,25<=28,25<=32,30<=38,其他选项带入后都会出现不满足的情况,所以第一空只有选项A满足小顶堆的要求,这种方法很容易通过代入数据就可以验证结果,还有一种方法,就是把他们用二叉树依次从上到下,从左到右表示出来,也是满足情况的,这种方法大家可以自己先尝试验证一下。
故第一空的正确答案为A。
二叉树:每个结点最多有两个子树的树结构,通常子树被称作左子树和右子树。
满二叉树:深度为k,且有2^k-1个节点的二叉树,每一层上的节点数都是最大节点数。
完全二叉树:除最后一层外,若其余层节点都是满的,并且最后一层或者是满的,或者是在右边缺少连续若干节点。也就是说,如果把满二叉树从右至左、从下往上删除一些节点,剩余的结构就构成完全二叉树。如果从上到下,从左到右分别对满二叉树和完全二叉树进行编号的话,完全二叉树存在的所有编号和满二叉树是可以全部对上号的。其中,小顶堆是一种经过排序的完全二叉树。
二叉排序树:又称二叉查找树、二叉搜索树。它或者是一棵空树;或者是具有下列性质的二叉树:
(1)若左子树不空,则左子树上所有结点的值均小于它的根结点的值;
(2)若右子树不空,则右子树上所有结点的值均大于它的根结点的值;
(3)左、右子树也分别为二叉排序树;
(4)没有键值相等的结点。
故第二空的正确答案为B。
对于一个完全二叉树,第1层为最多1个结点,第2层最多2个结点,第n层最多2^(n-1)个结点,本题10个结点=1+2+4+3,前三层的节点是满的,第四层只有3个节点,所以需要4层。
故第三空的正确答案为B。
如下表所示,八种常见的排序算法要求大家记住他们的平均时间复杂度和稳定性,其中堆排序的时间复杂度为O(nlog2n)。

故第四空的正确答案为B。
5.4.3 巩固练习题
(1)对下图所示的二叉树进行顺序存储(根结点编号为1,对于编号为i的结点,其左孩子结点为2i,右孩子结点为2i+1)并用一维数组BT来表示,已知结点X、E和D在数组BT中的下标分别为1、2、3, 可推出结点G、K和H在数组BT中的下标分别为( )。

A、10、11、12
B、12、24、25
C、11、12、13
D、11、22、23
(2)算术表达式a+b-c*d的后缀式是() (-、+、* 表示算术的减、加、乘运算,运算符的优先级和结合性遵循惯例)。
A、ab+cd*-
B、abc+-d*
C、abcd+-*
D、ab+c-d*
(3)堆是一种数据结构,分为大顶堆和小顶堆两种类型,大(小)顶堆要求父元素大于等于(小于等于)其左右孩子元素,则( 1 )是一个大顶堆结构,该堆结构用二叉树表示,其高度(或层数)为( 2 )。
1、 A、94,31,53,23,16,27
B、94,53,31,72,16,23
C、16,53,23,94,31,72
D、16,31,23,94,53,72
2、 A、2
B、3
C、4
D、5
(4)已知某文档包含5个字符。每个字符出现的频率如下表所示。采用霍夫曼编码对该文档压缩存储,则单词“cade”的编码为( 1 ),文档的压缩比为( 2 )。

1、 A、1110110101
B、1100111101
C、1110110100
D、1100111100
2、 A、20%
B、25%
C、27%
D、30%
5.4.4 练习题参考答案
(1)解析:本题考查二叉树的基础知识。
已知结点X、E和D在数组BT中的下标分别为1、2、3,对于编号为i的结点,其左孩子结点为2i,右孩子结点为2i+1。所以E的右孩子F的编号为2*2+1=5,同理:
F的右孩子节点G的编号为2*5+1=11;
G的左孩子节点K的编号为2*11=22;
G的右孩子节点H的编号为2*11+1=23。
故该题目的正确答案为:D。
(2)解析:本题考查程序语言中算数表达式的基础知识。
后缀式即逆波兰式,是逻辑学家卢卡西维奇发明的一种表示表达式的方法。这种表示方式把运算符写在运算对象的后面,例如,把a+b写成ab+。这种表示法的优点是根据运算对象和运算符的出现次序进行计算,不需要使用括号,也便于实现求值。
a+b-c*d按照优先级,首先应该计算c*d,后缀式表示为cd*,然后计算a+b,其后缀式为ab+,最后计算前面两个结果的差值,所以最终的后缀式是ab+cd*-。
故该题目的正确答案为:A。
(3)解析:本题考察二叉树的基础知识。
对于n个元素的关键字序列{K1,K2,…,Kn},当目仅当满足Ki<=K2i且Ki<=K2i+1(1<i<n/2),则称该序列为小顶堆。若将其中的"<="换为">="则称其为大顶堆。题目问的是大顶堆,所以第一个元素肯定是最大的,可以排除C选项和D选项,将元素按照上述的公式依次带入A选项,发现94>=31,94>=53,31>=23,31>=16,53>=27,B选项带入后发现53不满足大于等于72的情况,所以第一空只有选项A满足大顶堆的要求。我们在例题中也说了,可以利用二叉树的方式求证,本题A选项的二叉树表示如下图所示,按照从上到下,从左到右的次序依次把选项中的元素填进去,大顶堆要求其父节点要大于等于其左右孩子节点,这种方法也可以验证只有A选项满足要求。

故该题目的第一空的正确答案为A。
大顶堆和小顶堆都是一种经过排序的完全二叉树。对于一个完全二叉树,第1层为最多1个结点,第2层最多2个结点,第n层最多2^(n-1)个结点,本题6个结点=1+2+3,前2层的节点是满的,第3层只有3个节点,第3层填满需要4个节点,所以一共需要3层。
故该题目的第二空的正确答案为B。
(4)解析:本题考察霍夫曼树的基础知识。
霍夫曼树:给定n个权值作为n个叶子结点,构造一棵二叉树,若该树的带权路径长度达到最小,称这样的二叉树为最优二叉树,也称为哈夫曼树或霍夫曼树(Huffman Tree)。哈夫曼树是带权路径长度最短的树,权值较大的结点离根较近。
假设有n个权值,则构造出的哈夫曼树有n个叶子结点。n个权值分别设为 w1、w2、…、wn,则哈夫曼树的构造规则为:
1)、将w1、w2、…,wn看成是有n棵树的森林(每棵树仅有一个结点);
2)、在森林中选出两个根结点的权值最小的树合并,作为一棵新树的左、右子树,且新树的根结点权值为其左、右子树根结点权值之和;
3)、从森林中删除选取的两棵树,并将新树加入森林;
4)、重复2)、3)步,直到森林中只剩一棵树为止,该树即为所求得的哈夫曼树。
通过上述步骤和题干数据,构造哈夫曼树如下图所示:

编码规则为:左孩子为0,右孩子为1。
从根节点到该节点的所有编码连起来就是该节点的霍夫曼编码,由图可知,a的编码:0,b的编码100,c的编码111,d的编码110,e的编码:101。单词“cade”的编码连起来就是“1110110101”。
故第一空的正确答案为A。
压缩前,属于定长编码,每个字符用3位编码足够表示,压缩后编码长度是:1*40%+3*10%+3*20%+3*16%+3*14%=2.2,压缩率:(3-2.2)/3=27%。
故第二空的正确答案为C。
作者唯一官方个人微信公众号(昊洋与你一起成长):HYJY20180101
写于2020年9月2日
作者:昊洋讲师
版权所有,侵权必究




