什么是栈?
线性结构的一种,在栈中,数据项的加入和移除都仅发生在同一端。这一端叫栈“顶top”,另一端叫栈“底base”
距离栈底越近的数据项,留在栈中的时间就越长,而最新加入栈的数据项会被最先移除。这种次序通常称为“后进先出LIFO”:Last in First out
栈的特性:反转次序
次序反转的应用:如各个应用中的Undo功能,撤销的是最近的操作。
Stack的ADT(抽象数据类型)实现:
Stack():创建一个空栈,不包含任何数据项
push(item):将item加入栈顶,无返回值
pop():将栈顶数据项移除,并返回,栈被修改
peek():“窥视”栈顶数据项,返回栈顶的数 据项但不移除,栈不被修改
isEmpty():返回栈是否为空栈
size():返回栈中有多少个数据项
python实现:
class Stack:def __init__(self):self.items=[]def isEmpty(self):return self.items==[]def push(self,item):self.items.append(item)def pop(self):return self.items.pop()def peek(self):return self.items[len(self.items)-1]def size(self):return len(self.items)
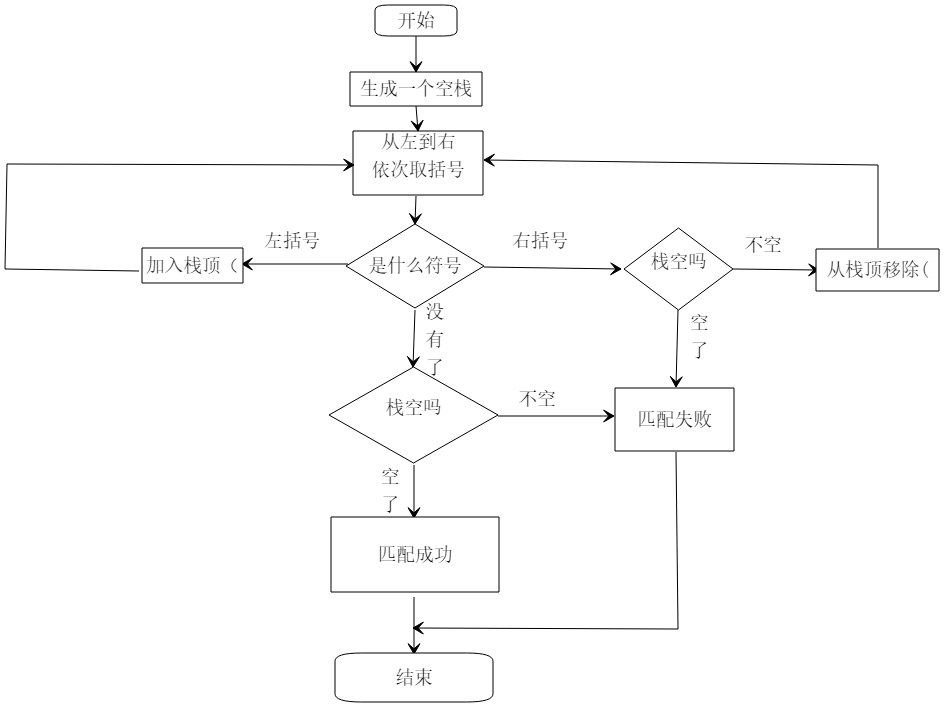
栈的应用:简单括号匹配:
比如(5+6)∗(7+8)/(4+3) 这里的括号是用来指定表达式项的计算优先级。
括号的使用必须遵循 “平衡”规则:首先,每个开括号要恰好对应一个闭括号;其次,每对开闭括号要正确的嵌套。
对括号是否正确匹配的识别,是很多语言编译器的基础算法。
算法构造:
从左到右扫描括号串,最新打开的左括号,应该匹配最先遇到的右括号,第一个左括号(最早打开),就应该匹配 最后一个右括号(最后遇到)。这种次序反转的识别,正好符合栈的特性!

python代码:
class Stack:def __init__(self):self.items=[]def isEmpty(self):return self.items==[]def push(self,item):self.items.append(item)def pop(self):return self.items.pop()def peek(self):return self.items[len(self.items)-1]def size(self):return len(self.items)def parChecker(symbolString):s=Stack()balanced=Trueindex=0while index<len(symbolString) and balanced:symbol=symbolString[index]if symbol in '([{':s.push(symbol)else:if s.isEmpty():balanced=Falseelse:top=s.pop()if not matches(top,symbol):balanced=Falseindex+=1if balanced and s.isEmpty():return Trueelse:return Falsedef matches(open,close):opens='([{'closes=')]}'return opens.index(open)==closes.index(close)def main():symbols=input()print(parChecker(symbols))main()
文章转载自李sir的信息技术课堂,如果涉嫌侵权,请发送邮件至:contact@modb.pro进行举报,并提供相关证据,一经查实,墨天轮将立刻删除相关内容。




