1
算法简介
原子搜索算法(Atom Search Algorithm,ASO)是模仿自然界中原子运动而提出的一种新型优化算法,根据分子动力学中原子的物理运动规律建立的算法模型。

2
ASO算法原理
主要步骤相互作用力、共价键约束力、原子加速度以及位置更新,相关的算法国内检索到的文章仅仅有两篇,不懂得问题可后台私信。
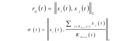
2.1 相互作用力






hij的值在一定范围内进行取值 下限为1.1 上限为2.4,并增加一个正弦扰动函数。



2.2 共价键约束力
假设每个原子与种群最佳原子具有一个共价键。

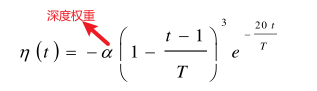
2.3 原子加速度


2.4 位置更新

2.5 算法流程图(伪代码)

3
测试函数仿真图
由于代码太占地方,直接从后台获取吧,里面还包括了相关的参考文献(国内相关的算法文献较少,国外的较多),从图中可看出这个优化算法要比之前所介绍的算法差很多哇(在测试集上的表现,该算法设计到多个参数,时间复杂度也很高,不是很推荐用这个算法)

4
参考文献
[1]Zhao W , Wang L, Zhang Z . A novel atom search optimization for dispersion coefficient estimation in groundwater[J]. Future Generation Computer Systems(S0167-739X), 2018, 91(FEB.):601-610.
[2]李建锋,卢迪,李贺香.一种改进的原子搜索算法[J/OL].系统仿真学报:1-13[2021-08-30].http://kns.cnki.net/kcms/detail/11.3092.V.20210409.1508.008.html.
5
代码获取方式
后台回复:ASO
(内置详细代码+中文注释+参考文献)
下期更新: 正余弦算法(含源代码)
往期回顾





