
背包问题是软件工程师面试中常问的问题,它被变形成许多问题用于考察面试者的思维能力. 背包问题的思路主要是将复杂的问题划分为子问题,先依次求解子问题,最终再求得原问题. 本文探究的背包问题为 0-1 背包问题,并解析 leetcode 416.
【0-1】背包问题

1.
背包问题
1.1 题目描述
有 N 种物品和一个容量为 V 的背包。第 i 种物品最多有n件可用,每件体积是c,价值是 w . 求解将哪些物品装入背包可使这些物品的体积总和不超过背包容量,且价值总和最大.
1.2 解题思路
这个问题最简答的思路就是穷举法, 另一个方法是动态规划, 依次求解子问题.
穷举法: 最基础的思路,可以尝试各种商品的组合,然后选出背包内价值最大的组合. 通过这种思路,每个物品都有放入背包、不放入背包两种选项,总的组合数量是 2^n . 时间复杂度是 o(2^n). 这样的指数型时间复杂度显然在工程上是不可取的.
动态规划: 这个题目可以考虑使用动态规划法,先解决局部的子问题,再解决最终的问题. 动态规划问题的核心是找到动态规划方程式,用于将问题划分成子问题. 下面是分析思路.
容量为 v 的背包,可以划分为两个容量为 v1 + v2 = v 的背包组合. 这两个背包的组合的价值和可能是容量为 v 的背包最大价值的潜在答案之一,v1、v2 依次分解成小容量背包,就可以反向递推容量为 v 的背包问题的解了. 那么如何将容量为 v 的背包进行划分呢?
可以考虑依次将第 i 个( i 从 1 到 n 遍历)物品拿出来,它的体积是 ci . 此时选择是否将物品放入背包. 那么就有两种可能, 放入该物品和不放入该物品. 放入该物品的话,需要确保背包容量足够,不放入该物品,则当前的背包最大价值与第 i-1 个物品取出时的情况相同.
比较这两种情况得到的价值,若背包中放入物品价值更大且容量满足,则第 i 个物品时,背包的最优解是放入物品 i. 否则第 i 个物品取出的最优解等同于第 i-1 个物品取出的情况.
在计算放入第 i 个物品时背包的最大价值时,需要知道容量为背包容量为 v - ci 的子问题背包的最大价值.
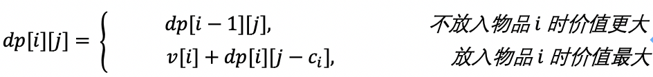
这个问题的划分思路是,计算放入第 i 个物品时,依次计算背包容量为 1~v 时的最优解. 最终计算到第 n 个物品时,容量为 v 的最优解就是原题目的最终解. 动态规划的方程式为如下:

上述公式中 dp[i][j] 代表前 i 个物品, 背包容量为 j 时背包问题的最有解, 其中 0 <= i < n, 0 <= j <= v. ci 为物品 i 的体积,v[i] 为物品 i 的价值.
代码实现如下:
// golang 实现//动态规划func backpack(capacities []int, values []int, capacity int) int {dp := make([][]int, len(values))for i := 0; i < len(values); i++ {dp[i] = make([]int, capacity+1)}// 只有一个物品时,背包问题的 dp[0] 解for i := capacities[0]; i < capacity; i++ {dp[0][i] = values[0]}for i := 1 ; i < len(values); i++ {for j := 0;j <= capacity; j++ {if j < capacities[i] || dp[i-1][j] >= values[i] + dp[i][j - capacities[i]] {dp[i][j] = dp[i-1][j]}else {dp[i][j] = values[i] + dp[i][j - capacities[i]]}}}return dp[len(values)-1][capacity]}

leetcode 416 及题解

2.
Leetcode 416. Partition Equal Subset Sum
背包问题作为经典问题,它的解题思路被应用在许多问题上. 是面试中常问的问题. 其中 Leetcode 416 的解题思路就是背包问题. 实际上,leetcode 416 是更简单的背包问题.
2.1 题目描述
Given a non-empty array containing only positive integers, find if the array can be partitioned into two subsets such that the sum of elements in both subsets is equal.
Note:
Each of the array element will not exceed 100.
The array size will not exceed 200.
Example 1:
Input: [1, 5, 11, 5]
Output: true
Explanation: The array can be partitioned as [1, 5, 5] and [11].
Example 2:
Input: [1, 2, 3, 5]
Output: false
Explanation: The array cannot be partitioned into equal sum subsets.
题目大意是给予一个正整数数组,判断是否可以将数组分为两个子数组,且两个子数组的和是相等的.
2.2 题目求解
这道题和背包问题一样,可以采用穷举法,列出所有的组合,但是时间复杂度太高,工程上是不可行的. 另一种方法也是动态规划,可以将其划分为子问题,先求子问题,在逐步求解原问题.
实际上,这道题可以通过将背包容量设置为 sum/2 ,每个数的大小作为物品的体积,这题的最优解不需要考虑物品的价值,而是能否将背包填满. 事实上,它比背包问题更简单. 它只有一个体积,子问题即容量为 0 ~ sum/2 的背包是否能够被前 i 个物品的组合正好填满.
我们设 dp[i] 为容量为 i 的背包能否被前 j 个物品的组合正好填满, nums[j] 为物品的体积. 则动态规划方程式为:
dp[i] = dp[i-j]
以下是代码实现:
// golang 实现func canPartition(nums []int) bool {var sum intfor _, num := range nums {sum += num}// sum/2 有小数,nums 都为正数,显然不可以if sum % 2 == 1 {return false}sum = sum 2 // 目标 targetdp := make([]bool, sum+1)dp[0] = truefor _, v := range nums {// 加入体积为 v 的数后,重新判断容量为 v ~ sum 的背包是否能被填满for j := sum; j > 0; j-- {if j >= v && dp[j-v] {dp[j] = true}}}return dp[sum]}

END

3.
END
3.1 其它
0-1 背包问题是背包问题的其中一种,背包问题可以划分为三类,包括: 0-1 背包问题、完全背包问题、多重背包问题. 它们是动态规划的经典问题.
背包可以出现在各领域的现实世界的决策过程,如资产证券化、投资组合、选择投资等. 背包问题除了在面试中常常出现,也是是十分值得去探索的问题,它已经被研究超过了 1 个世纪.
3.2 参考文献
1. 0-1 背包问题 [https://www.jianshu.com/p/a66d5ce49df5]
2. partition equal subset sum [https://leetcode.com/problems/partition-equal-subset-sum/]
3.背包问题 [https://baike.baidu.com/item/背包问题]
END




