❝前面已经有3篇文章讲二叉树深度优先遍历,分别是 【阿里高频题】动画讲解二叉树深度优先遍历 【阿里高频题】二叉树深度遍历进阶版 【强!】深度优先遍历求二叉树的直径。今天这道题是之前问题的进阶版。学会它,基本具备与大厂面试官谈笑风生的能力,想想都很兴奋呢!
❞
1 问题描述
给定一个二叉树和一个数字S,找出所有的路径,使得路径上所有元素的和等于S。这里的路径的起点和终点可以是任何节点,但是要遵循从父节点到子节点的方向。
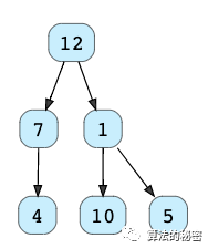
「例子1」给定S=12,和如下二叉树:

输出是:3
因为可以发现:7-5,1-9-2,9-3三个路径都满足要求。
「例子2」给定S=11和如下二叉树:

输出是:2
因为可以发现:7-4和1-10两个路径都满足要求。
2 问题分析
「复杂的问题有时可以从简单的角度进行分析。」
对这道题,咱们只要能找到所有可能的路径,挨个检查就可以了。
那么如何找到所有可能的路径呢?
【下面这段话请仔细品味】
我们可以将所有可能的路径「按照路径终点所在节点」进行分类。结合深度优先遍历,在遍历到每一个节点时,对以该节点为终点的所有路径进行检查就可以了。
当然,为了方便遍历所有可能路径,我们需要记录下访问该节点时的当前路径信息。
3 代码实现
class TreeNode:
def __init__(self, val, left=None, right=None):
self.val = val
self.left = left
self.right = right
def count_paths(root, S):
return count_paths_recursive(root, S, [])
def count_paths_recursive(currentNode, S, currentPath):
if currentNode is None:
return 0
# 将当前节点加入到当前路径中
currentPath.append(currentNode.val)
pathCount, pathSum = 0, 0
# 检查所有以当前节点为终点的路径
for i in range(len(currentPath)-1, -1, -1):
pathSum += currentPath[i]
# 找到一条符合条件的路径时,计数加1
if pathSum == S:
pathCount += 1
# 递归调用左子树
pathCount += count_paths_recursive(currentNode.left, S, currentPath)
# 递归调用右子树
pathCount += count_paths_recursive(currentNode.right, S, currentPath)
# 从递归调用栈退出时,将当前节点从当前路径中删除,以便进行回溯
del currentPath[-1]
return pathCount

往期精彩回顾
文章转载自工程师milter,如果涉嫌侵权,请发送邮件至:contact@modb.pro进行举报,并提供相关证据,一经查实,墨天轮将立刻删除相关内容。




