
1.介绍
逻辑回归假设数据服从伯努利分布,通过极大化似然函数的方法,运用梯队下降来求解参数,来达到将数据二分类的目的。
2.逻辑回归的损失函数和梯度下降参数迭代方法
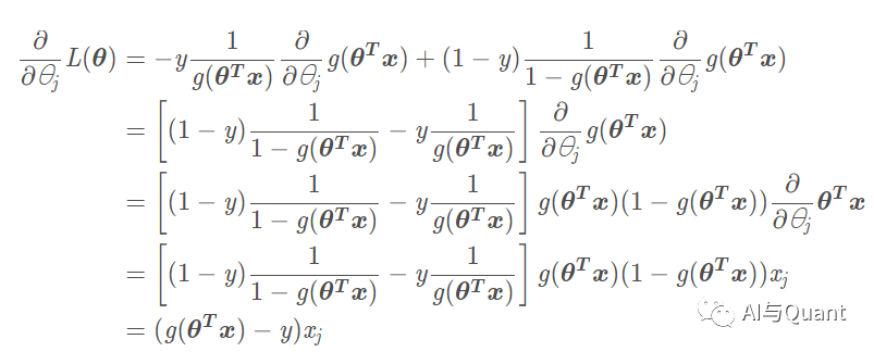
逻辑回归的损失函数是它的极大似然函数

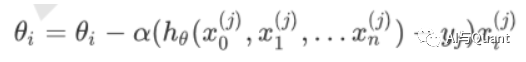
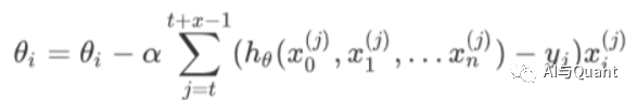
参数迭代方法


3.逻辑回归为什么使用对数损失而不用平方损失
损失函数一般有四种,平方损失函数,对数损失函数,HingeLoss0-1损失函数,绝对值损失函数。
将极大似然函数取对数以后等同于对数损失函数。在逻辑回归这个模型下,对数损失函数的训练求解参数的速度是比较快的。至于原因大家可以求出这个式子的梯度更新

这个式子的更新速度只和xij,yi相关。和sigmod函数本身的梯度是无关的。这样更新的速度是可以自始至终都比较的稳定。
为什么不选平方损失函数的呢?
其一是因为如果你使用平方损失函数,你会发现梯度更新的速度和sigmod函数本身的梯度是很相关的。sigmod函数它在定义域内的梯度都不大于0.25,这样训练会非常的慢。
4.逻辑回归在训练的过程中,如果有很多的特征高度相关或者说有一个特征重复了很多遍,会造成怎样的影响
如果在损失函数最终收敛的情况下,其实就算有很多特征高度相关也不会影响分类器的效果。但是对特征本身来说的话,假设只有一个特征,在不考虑采样的情况下,你现在将它重复 100 遍。训练完以后,数据还是这么多,但是这个特征本身重复了 100 遍,实质上将原来的特征分成了 100 份,每一个特征都是原来特征权重值的百分之一。如果在随机采样的情况下,其实训练收敛完以后,还是可以认为这100个特征和原来那一个特征扮演的效果一样,只是可能中间很多特征的值正负相消了。
5.为什么在训练过程中将高度相关的特征去掉
1.去掉高度相关的特征会让模型的可解释性更好
2.可以大大提高训练的速度。如果模型当中有很多特征高度相关的话,就算损失函数本身收敛了,但实际上参数是没有收敛的,这样会拉低训练的速度。其次是特征多了,本身就会增大训练的时间。
6.逻辑回归为什么要对特征进行离散化
https://blog.csdn.net/yang090510118/article/details/39478033
在工业界,很少直接将连续值作为特征喂给逻辑回归模型,而是将连续特征离散化为一系列0、1特征交给逻辑回归模型,这样做的优势有以下几点:
稀疏向量内积乘法运算速度快,计算结果方便存储,容易scalable(扩展)。
离散化后的特征对异常数据有很强的鲁棒性:比如一个特征是年龄>30是1,否则0。如果特征没有离散化,一个异常数据“年龄300岁”会给模型造成很大的干扰。
逻辑回归属于广义线性模型,表达能力受限;单变量离散化为N个后,每个变量有单独的权重,相当于为模型引入了非线性,能够提升模型表达能力,加大拟合。
离散化后可以进行特征交叉,由M+N个变量变为M*N个变量,进一步引入非线性,提升表达能力。
特征离散化后,模型会更稳定,比如如果对用户年龄离散化,20-30作为一个区间,不会因为一个用户年龄长了一岁就变成一个完全不同的人。当然处于区间相邻处的样本会刚好相反,所以怎么划分区间是门学问。
李沐少帅指出,模型是使用离散特征还是连续特征,其实是一个“海量离散特征+简单模型” 同 “少量连续特征+复杂模型”的权衡。既可以离散化用线性模型,也可以用连续特征加深度学习。就看是喜欢折腾特征还是折腾模型了。通常来说,前者容易,而且可以n个人一起并行做,有成功经验;后者目前看很赞,能走多远还需拭目以待。
大概的理解:
1)计算简单
2)简化模型
3)增强模型的泛化能力,不易受噪声的影响
7.逻辑回归模型中,为什么常常要做特征组合(特征交叉)
逻辑回归模型属于线性模型,线性模型不能很好处理非线性特征,特征组合可以引入非线性特征,提升模型的表达能力。另外,基本特征可以认为是全局建模,组合特征更加精细,是个性化建模,但对全局建模会对部分样本有偏,对每一个样本建模又会导致数据爆炸,过拟合,所以基本特征+特征组合兼顾了全局和个性化。
8.逻辑回归和线性回归
逻辑回归是一种广义线性模型,它引入了Sigmod函数,是非线性模型,但本质上还是一个线性回归模型,因为除去Sigmod函数映射关系,其他的算法原理,步骤都是线性回归的。
逻辑回归和线性回归首先都是广义的线性回归,在本质上没多大区别,区别在于逻辑回归多了个Sigmod函数,使样本映射到[0,1]之间的数值,从而来处理分类问题。另外逻辑回归是假设变量服从伯努利分布,线性回归假设变量服从高斯分布。逻辑回归输出的是离散型变量,用于分类,线性回归输出的是连续性的,用于预测。逻辑回归是用最大似然法去计算预测函数中的最优参数值,而线性回归是用最小二乘法去对自变量因变量关系进行拟合。
9.正则化
过拟合
过拟合表现在训练数据上的误差非常小,而在测试数据上误差反而增大。原因是模型过于复杂,过分的去拟合数据的噪声。
正则化项是对模型参数添加先验,使得模型复杂度较小,对于噪声扰动相对较小。
防止过拟合
在目标函数或代价函数后面加上一个正则项,一般有L1正则与L2正则。
L1正则和L2正则
相同点:都用于避免过拟合
不同点:
1.两者引入的关于模型参数的先验条件不一样,L1是拉普拉斯分布,L2是正态分布。
2.L1偏向于使模型参数变得稀疏(但实际上并不那么容易),L2偏向于使模型每一个参数都很小,但是更加稠密,从而防止过拟合。

上图中的模型是线性回归,有两个特征,要优化的参数分别是w1和w2,左图的正则化是L2,右图是L1。蓝色线就是优化过程中遇到的等高线,一圈代表一个目标函数值,圆心就是样本观测值(假设一个样本),半径就是误差值,受限条件就是红色边界(就是正则化那部分),二者相交处,才是最优参数。可见右边的最优参数只可能在坐标轴上,所以就会出现0权重参数,使得模型稀疏。
10.梯度下降法
1.批量梯度下降法BGD
在更新参数时使用所有的样本来进行更新

2.随机梯度下降法SGD
和批量梯度下降法原理类似,区别在于求梯度时没有用所有的m个样本的数据,而是仅仅选取一个样本j来求梯度。

3.小批量梯度下降法MBGD
是SGD和BGD的折中,即对于m个样本,采用x个子样本来迭代,1<x<m。一般可以取x=10,根据样本的数据,调整这个x的值。

4.总结
1.BGD会获得全局最优解,缺点是在更新每个参数的时候需要遍历所有的数据,计算量会很大,并且会有很多的冗余计算,导致的结果是当数据量大的时候,每个参数的更新都会很慢
2.SGD以高方差频繁更新,优点是使得SGD会跳到新的和潜在的更好的局部最优解,缺点是使得收敛到局部最优解的过程更加的复杂
3.MBGD结合了BGD和SGD的优点,每次更新的时候使用n个样本。减少了参数更新的次数,可以达到更加稳定收敛结果,一般在深度学习当中可以采用这种方法,将数据一个batch一个batch的送进去训练。
11.工程上,怎么实现LR的并行化?有哪些并行化的工具
逻辑回归的并行化最主要的就是对目标函数梯度计算的并行化。
算法的并行化有两种:
1.无损的并行化:算法天然可以并行,并行只是提高了计算的速度和解决问题的规模,但和正常执行的结果是一样的。
2.有损的并行化:算法本身不是天然并行的,需要对算法做一些近似来实现并行化,这样并行化之后的双方和正常执行的结果并不一致,但是相似的。
基于Batch的算法(Batch-GD, LBFGS, OWLQN)都是可以进行无损的并行化的。而基于SGD的算法(Ad Predictor, FTRL-Proximal)都只能进行有损的并行化。
并行化的工具MPI和OpenMP。
12.逻辑回归的优缺点
优点
1.形式简单,模型的可解释性非常好。从特征的权重可以看到不同的特征对最后结果的影响,某个特征的权重值比较高,那么这个特征最后对结果的影响会比较大
2.逻辑回归的对率函数是任意阶可导函数,数学性质好,易于优化
3.逻辑回归不仅可以预测类别,还可以得到近似的概率预测
4.模型效果不错。在工程上是可以接受的(作为baseline),如果特征工程做得好,效果不会太差,并且特征工程可以大家并行开发,大大加快开发的速度
训练速度较快。分类的时候,计算量仅仅只和特征的数目有关。并且逻辑回归的分布式优化sgd发展比较成熟,训练的速度可以通过堆机器进一步提高,这样我们可以在短时间内迭代好几个版本的模型
方便输出结果调整。逻辑回归可以很方便的得到最后的分类效果,因为输出的是每个样本的概率分数,我们可以很容易的对这些概率分数进行cut off,也就是划分阈值(大于某个阈值的是一类,小于某个阈值的是一类)
缺点
1.准确率并不是很高。因为形式非常的简单(非常类似线性模型),很难去拟合数据的真实分布
2.很难处理数据不平衡的问题。比如:如果我们对于一个正负样本非常不平衡的问题比如正负样本比10000:1。我们把所有样本都预测为正也能使损失函数的值比较小,但是作为一个分类器,它对正负样本的区分能力不会很好
3.处理非线性数据较麻烦,逻辑回归在不引入其他方法的情况下,只能处理线性可分的数据
4.逻辑回归本身无法筛选特征。有时候,我们会用gbdt来筛选特征,然后再上逻辑回归。
13.LR与SVM的关系
相同点
1.都是有监督分类方法,判别模型(直接估计y=f(x)或p(y|x))
2.都是线性分类方法(指不用核函数的情况)
不同点
1.loss不同。LR是交叉熵,SVM是Hinge loss,最大化函数间隔
2.LR决策考虑所有样本点,SVM决策仅仅取决于支持向量
3.LR受数据分布影响,尤其是样本不均衡时影响大,要先做平衡,SVM不直接依赖于分布
4.LR可以产生概率,SVM不能
5.LR是经验风险最小化,需要另外加正则,SVM自带结构风险最小化不需要加正则项
6.LR每两个点之间都要做内积,而SVM只需要计算样本和支持向量的内积,计算量更小




