
点小蓝字加关注!
IT学习、面试使用微信小程序:面试E。文章底部直接点击进入
转成二进制主要有以下几种:正整数转二进制,负整数转二进制,小数转二进制
在说明换算之前,先介绍一下次方和负次方的概念(面向新手):

值转化为二进制
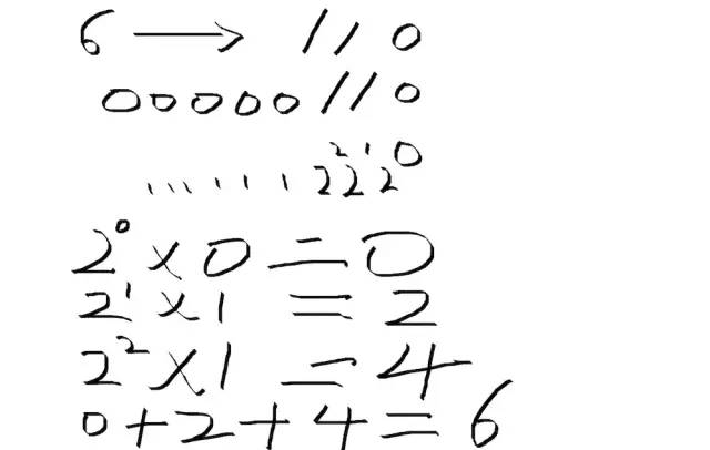
1.正整数转二进制

在计算机中存储字节是定长的,即我们8、16、32位等等,6的二进制位为110,但如果在8位计算机中是00000110,高位补零
2.负整数转二进制

取反就是把1变0,加1就是把最右边的1挪到后面一位去
3.小数转二进制

小数转二进制,先把整数为转换成二进制,然后把小数位转换(小数为换算每次乘2,不足1为0),最后相加,6.25的二进制为110.01
二进制转换正负整数以及小数
1.二进制转正整数
(二进制位左边首位为0为正数(6 --->00000110),1为负数(-6---->11111010))

2.二进制转负整数
-6的二进制位为11111010,取反为00000101,然后加1为00000110,110为6,故值为-6
3.二进制转小数
和小数转二进制一致,先算整数位,再算小数位,最后相加

点小程序,免费练习BATJ最新、最全面试题目。
—————END—————
关注下作者哦!


获取更多面试资料
请长按下方图片扫码关注
你的关注是对作者最大的鼓励

文章转载自IT微联盟,如果涉嫌侵权,请发送邮件至:contact@modb.pro进行举报,并提供相关证据,一经查实,墨天轮将立刻删除相关内容。





