TPCH性能测试
测试说明
表压缩参数:
COMPRESSTYPE=2
COMPRESS_LEVEL=12
COMPRESS_CHUNK_SIZE=512
COMPRESS_PREALLOC_CHUNKS=0
compress_byte_convert=flase
compress_diff_convert=flase
索引压缩参数:
COMPRESSTYPE=2
COMPRESS_LEVEL=0
COMPRESS_CHUNK_SIZE=512
COMPRESS_PREALLOC_CHUNKS=0
compress_byte_convert=true
compress_diff_convert=flase
测试过程中不压缩场景下,均使用参数默认值
10G数据
orders表1500万,lineitem表6000万
建表语句
例:
gsql -p 26000 -d tpch3 -U sysadmin -W 'Cmbcinit123.' -c "CREATE TABLE REGION(R_REGIONKEY INT NOT NULL, R_NAME CHAR(25) NOT NULL, R_COMMENT VARCHAR(152)) WITH (ORIENTATION=row,STORAGE_TYPE=ASTORE,COMPRESSTYPE=$TYPE_t,COMPRESS_LEVEL=$LEVEL_t,COMPRESS_CHUNK_SIZE=$SIZE_t,COMPRESS_PREALLOC_CHUNKS=$PREALLOC_t,COMPRESS_BYTE_CONVERT=$BYTE_t,COMPRESS_DIFF_CONVERT=$DIFF_t);"
gsql -p 26000 -d tpch3 -U sysadmin -W 'Cmbcinit123.' -c "alter table REGION add primary key (R_REGIONKEY) WITH (COMPRESSTYPE=$TYPE_i,COMPRESS_LEVEL=$LEVEL_i,COMPRESS_CHUNK_SIZE=$SIZE_i,COMPRESS_PREALLOC_CHUNKS=$PREALLOC_i,COMPRESS_BYTE_CONVERT=$BYTE_i,COMPRESS_DIFF_CONVERT=$DIFF_i);"
整体大小对比

导入数据时间
copy方式导入
gsql $opts -c "COPY sysadmin.region FROM '$dir/region.csv' WITH (FORMAT csv,DELIMITER '|')"

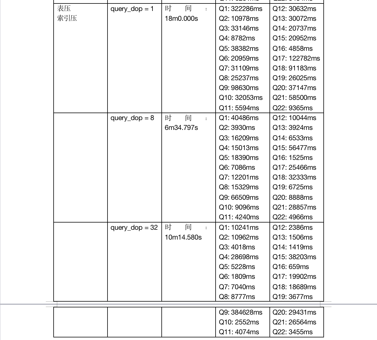
性能对比

执行时长对比




测试结论
表压缩的情况下,会造成性能下降;索引压缩的情况下,会提升一定性能
但在索引压缩的情况下,query_dop=1和8,整体查询时间比索引不压缩的时间短,query_dop=32,整体查询时间是索引不压缩的2倍
「喜欢这篇文章,您的关注和赞赏是给作者最好的鼓励」
关注作者
【版权声明】本文为墨天轮用户原创内容,转载时必须标注文章的来源(墨天轮),文章链接,文章作者等基本信息,否则作者和墨天轮有权追究责任。如果您发现墨天轮中有涉嫌抄袭或者侵权的内容,欢迎发送邮件至:contact@modb.pro进行举报,并提供相关证据,一经查实,墨天轮将立刻删除相关内容。




