按:介绍一篇利用rTMS结合神经振荡特征调控听觉选择性注意的文章。之前的推文中介绍过不少关于alpha振荡与视觉注意的内容,但其实alpha振荡也可以自上而下调控听觉注意,本文是一篇不错的例子,探索了顶叶alpha振荡和听觉注意的因果联系。


图1A 听觉空间选择性注意过程中的alpha偏侧化。通过控制双耳时间差(用μs衡量),听觉空间注意被导向五个不同的方向。在听觉线索(cue)出现之后、听觉刺激呈现之前的这段时间里,被试的alpha能量表现出明显的偏侧化。对于在左边的听觉线索,同侧顶叶alpha能量上升,对侧alpha能量下降;对有变的听觉线索的反应则相反(Deng et al., 2020; Neuroimage)。
大量行为研究表明,将注意保持在持续的听觉流上是由音高、位置、声音等特征的连续性(continuity)所支持的。如果一段声音不连续,不仅会干扰目标听觉流的记忆,也会干扰顶叶的alpha偏侧化(图1B)。

图1B 当说话者不连续时,alpha偏侧化会被干扰。上方左边是连续的声音流,右边则是存在切换(switching)的不连续声音流。脑电地形图展现了关注左边减去关注右边后的结果,结果发现在连续条件下存在alpha偏侧化,而切换条件下不存在。
以往关于视觉注意的研究表明,顶叶alpha振荡和视觉空间注意是存在因果关系的。这些研究利用alpha频率的经颅磁刺激(TMS)来调控顶叶的alpha振荡,发现这种刺激可以提高对同侧目标的注意或记忆,同时降低对侧目标的注意或记忆。而在另一种神经调控手段:经颅交流电刺激(tACS)中,似乎只有高密度tACS(high-density; HD tACS)有用。不过,在听觉空间注意方面还没有类似研究。
因此,本研究使用HD tACS对此进行探索,目的是发现顶叶alpha可以因果性地影响听觉空间注意表现。任务如图2A所示,包括让被试关注位置信息(location; 涉及空间注意)或关注说话者的性别(不涉及空间注意,与顶叶alpha无关);此外,如图2B所示,声音刺激一半是连续的,一半是不连续的(不连续会破坏顶叶alpha)。根据之前的推断,研究者假设,alpha-tACS对于非空间注意任务条件和不连续的任务条件没有影响,只对涉及空间注意的连续的听觉注意有影响。
整个实验流程包括两个session(图2C),一个是真alpha-tACS的刺激,另一个是虚假刺激(sham)。每一个session都是三个20分钟的block,首先是基线block,然后是"stimulation" block(接受刺激的时候完成),最后是刺激后(post-stimulation)block。除了这个主实验之外,研究者还做了一个控制实验,把alpha-tACS换成了与空间注意关系不大的theta-tACS (6 Hz),其他都不变。

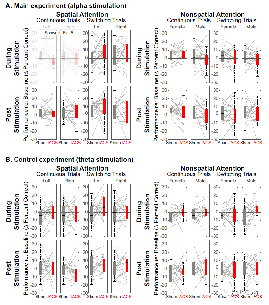
图2 任务范式;实验材料;实验流程
本研究tACS选择的位置是右侧顶内沟(right IPS),因为前人研究发现,右侧IPS不仅全权负责左侧的刺激,也部分负责右侧的刺激加工,所以,本研究的假设可以用图3来表示,即右侧IPS的alpha刺激可以抑制左侧的刺激表征,损害左边目标的表现,而对于右边目标的表现可能是提高或不变的。

图3 实验假设。Sham是4Hz的刺激(控制条件)红色代表alpha能量上升,蓝色代表下降。如果逻辑理顺,这张图的假设是比较清晰的
来看一下结果,首先,无论在主实验还是控制实验中,行为结果发现不连续的说话条件(switching)会干扰空间注意(图4),但不干扰非空间注意,这符合以往的研究结果。

图4 不连续的说话条件(switching)会干扰空间注意但不干扰非空间注意。
其次,在确认两个session的基线表现相当后,tACS的结果表明,在"stimulation" block中,对右侧IPS的alpha-tACS干扰了左侧目标的听觉空间注意(图5),但对右侧目标的注意没有显著影响。

图5 基线校正后的行为表现:与sham相比,右侧IPS的alpha-tACS损害了左侧的听觉空间注意
之后作者进行了一个事后分析,对stimulation block和刺激后block都分成了四段,来看tACS效应对于左侧刺激影响的时间变化。结果发现了一个持续稳定的刺激效应(图6),在stimulation block中,真刺激条件下的表现都差于sham条件;而在刺激后block中,这种效应就消失了。

图6 tACS效应的动态变化:只在刺激进行中的Block表现出效应,刺激后就没了
在使用theta-tACS的控制实验中,没有发现对行为有显著影响。同时,所有实验中,刺激后的block都没发现tACS的效应;在说话不连续的switching条件下,也没发现tACS的效应。也就是说,32种实验条件下(图7),只有图5所示的这一种条件发现了tACS的效应。因此,这些结果支持了先前研究假设。

图7 所有其他控制条件都没有发现显著的结果
总结而言,本研究使用alpha频率的tACS刺激右侧IPS,成功选择性地干扰了左侧的听觉注意表现,同时在大量控制条件的对照下,为alpha振荡和听觉空间注意的因果联系提供了依据。今后的研究可以进一步结合E/MEG记录,验证tACS干扰是否真的通过改变内在的神经振荡从而影响行为表现。
论文原文:Deng, Y., Reinhart, R. M., Choi, I., & Shinn-Cunningham, B. G. (2019). Causal links between parietal alpha activity and spatial auditory attention. Elife, 8. doi:10.7554/eLife.51184
相关文献阅读
感谢支持!欢迎转发、分享!




