目录
(一)例子
(二)距离计算
(三)算法优缺点
编辑:
校对:
版本:
Jiangnan
Jiangnan
python3
例子
我们知道有很多题材的电影。如果我们给电影分类可以根据电影的一些特征进行分类。如动作片的打斗场景比较多而爱情片的亲吻镜头比较多。对于一部没有看过的电影,如何确定它是爱情片还是动作片?
首先我们需要知道这部电影有多少个打斗和亲吻的镜头,然后计算这部电影与我们所知的几步电影(分类已知)之间的距离,按照距离递增排序,取与这部电影最近的前K项,把这部电影归为前K项中所属分类最多的哪一类。
距离计算
距离的定义:设X是任一非空集,对X中任意两点x,y有一实数d(x,y)与之对应且满足,非负性、统一性、对称性、值递性。称d(x,y)为X中的一个距离,定义了距离d的集X称为一个距离空间。
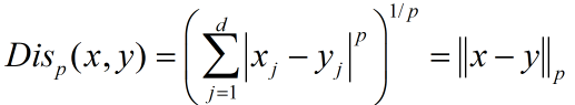
马氏距离(闵可夫斯基距离)

其中d是维数,p是阶数,也称为范数
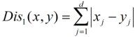
当p=1时,是曼哈顿距离
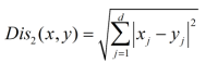
当p=2时,是欧氏距离
当p趋于无穷时,是切比雪夫距离
当p=0时,是海明距离
欧式距离:

曼哈顿距离:

在KNN距离一般使用欧式距离和曼哈顿距离。
算法优缺点
优点:精度高、对异常值不敏感、无数据输入假定。
缺点:计算复杂度高、空间复杂度高。
思考——学而不思则罔
根据上面的例子你可以写出KNN的伪代码吗?

理解编程语言,探索数据奥秘
每日练习|干货分享|新闻资讯|公益平台。
每天学习一点点,你将会见到全新的自己。

长按识别二维码关注
文章转载自云南高校数据化运营管理工程中心,如果涉嫌侵权,请发送邮件至:contact@modb.pro进行举报,并提供相关证据,一经查实,墨天轮将立刻删除相关内容。




