1、介绍
人工智能、实时视频流和自动驾驶汽车等高带宽数据中心应用的快速增长,推动了数据中心光互连对高效资源利用的需求。许多研究使用传统的机器学习算法(例如,支持向量机(SVM)、神经网络(NN))来实现流量预测,作为资源分配的指导。上述机器学习算法利用现有数据训练一个简单的交通预测模型,然后使用该模型预测未来的交通流量。然而,由于带宽爆炸和服务分集的变化,基于传统算法的预测结果的准确性无法得到保证。最近,深度学习(DL)引起了学术界和工业界的极大兴趣,因为它可以发现数据中的深层连接,从而在复杂网络中实现准确的预测。因此,有必要将深度学习技术应用于数据中心光网络中的频谱资源使用。
为了提高预测的准确性,首次在数据中心内光网络的光资源分配中引入深度学习。在本文中,我们提出了一种基于深度学习的数据中心光网络流量评估深度神经网络预测策略(DNN-PS)。基于DNN-PS,提出了一种基于深度学习的资源分配算法(DL-RA)。DL-RA可以通过高精度的流量预测为数据中心提供高可靠性的资源分配,这可以提高高带宽和多品种流量的资源利用率,其中使用评估因子来跟踪异常候选者。实验和仿真结果表明,该策略在提高预测精度的同时,可以显著提高资源利用率,大大降低阻塞概率。
2、基于深度神经网络的预测策略(DNN-PS)
在提出所提出的算法之前,我们提出了DNN-PS,如图1所示。我们利用与模式识别相关的深度学习架构来进行数据中心光网络的资源分配。DNN能够识别和表征大量原始数据中的复杂结构特征,而这些内部关系是普通机器学习方法不容易检测到的。为了建立更准确的预测模型,我们建立了一个包含数千万数据中心流量信息的数据库,并使用监督学习技术对其进行了数周的训练。流量数据每20秒从200多台服务器上收集一次,这些服务器部署在中国北京的国家重点实验室数据中心。我们在训练过程中调整DNN中的权重和偏差,以最小化目标函数。在获得令人满意的预测模型后,我们可以通过输入新的数据来获得预测结果。然后,预测结果将被导入DL-RA算法,以分配用于新到达业务的资源。DL-RA的核心是以高效的方式安排预测流量和退出流量,以最大限度地提高资源利用率,最大限度地减少对流量的不利影响。

3、基于深度学习的资源分配算法
基于上述DNN-PS,我们提出了一种基于深度学习的资源分配算法和分配结果的评估因子。
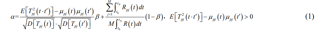
该算法使用深度学习通过预测来估计未来的流量行为,并使用这样的结果来估计所考虑的流量所需的未来网络资源的量。为了从准确性和资源的角度评估预测结果的有效性,我们引入了一个全局评估因子α。归一化因子包含预测和资源参数。对于预测参数,我们通过定义相关系数来表征预测交通到达时间和实际到达时间之间的偏差程度。而对于资源参数,我们使用积分来描述全球视角下的资源消耗。Tpj表示第j个预测流量(P-流量)的到达时间,μ是不同到达时间量的Tp的值中心,tc表示预测到达时间,而t表示实际到达时间。R t pj表示在t时间第j个到达预测业务所需的资源,R t表示数据中心在t时间的资源总量。在我们之前的工作中对资源的具体表示。此外,M表示将在时间t0,N期间到达的业务总量,其中N表示第M个业务的到达时间。因此,全局评估因子α满足如下公式(1),其中β是具有不同用户需求的流量和资源参数之间的可调整权重。

该评估因子同时考虑了流量预测的准确性和全局资源利用率,可以说明预期的流量到达和需要保留的资源。
对于每个预测流量Tpj,评估其优先级并计算所需资源。控制器获取数据中心中现有流量的当前资源使用状态和优先级。如果在Tpj到达时没有发现足够的连续资源被分配,则找出队列中是否存在任何低优先级业务。如果评估因子D大于阈值,则根据资源片段的当前分布和流量的优先级丢弃低优先级流量,如图所示。第2(a)段。完成上述工作后执行更新过程,根据流量处理的不同状态更新流量队列。因此,可以获得资源分配所需的主要信息,并如图2(b)所示详细描述了所提出的算法。

4、实验评估与结果分析
在本节中,我们介绍了基于DNN-PS的结果。我们的目标是演示DL-RA在不同网络环境中的准确性和网络性能。我们的测试平台是一个多核服务器,有12个物理2.90GHz CPU内核和80GB RAM。该服务器运行Linux 2.6.32。我们使用GCC 4.6和-O3选项编译代码[6-8]。2017年6月,我们在中国北京国家重点实验室数据中心对真实的包头信息进行了实验。为了充分反映网络环境的变化,我们选择了负载最重的6小时轨迹进行实验。这些跟踪包含1570万个数据包,总流量约为7.6GB。
我们将DL-RA策略与几种最先进的资源分配技术进行了比较,包括流量异常检测中的NN-RA、CSO和FF。如图6所示,如图3(a)所示,深度学习的预测结果明显优于神经网络的传统预测结果。预测误差的产生是因为,流量直接受到许多非线性因素的影响,如热点事件、用户的移动模式等。因此,许多流量无法准确预测。基于计算,DL的预测精度比NN高出约7个百分点。在图3(b)中,我们比较了四种算法的资源占用率。在我们的预期范围内,DL-RA比NN-RA和其他两种具有更好的性能。DL-RA策略可以根据预测结果更合理地为业务分配资源。这是因为该算法同时考虑了流量的到达时间及其所需的资源。从图3(c)所示的结果来看,DL-RA和NN-RA都可以在很大程度上降低流量阻塞概率,并且当流量异常发生时,DL-RB的性能甚至优于NN-RA。原因是DL-RA可以提前为预测的高优先级流量预留足够的资源,从而降低了高优先级流量在重负载条件下的阻塞概率。
5、总结
我们提出了基于深度学习的DNN-PS用于数据中心内光网络的资源分配,该算法已应用在GoldenDB分布式数据库中。此外,我们还进一步开发了DL-RA算法来实现资源的高效分配。实验表明,该算法能够有效地提高复杂网络环境下的预测精度,从而提高网络性能。




