二叉平衡查找树AVL详解
看懂这篇文章所需的知识点
树、二叉搜索树、树高、树深、层等概念
AVL树
概念 : 任意节点的左右子树的高度差不能大于1的树 即为AVL树,是为了 解决在频繁插入删除等动态更新下出现的时间复杂度退化 的问题,所以平衡的意思为:尽可能使整个树保持平衡,而不会出现左子树很高右子树很矮的情况。
AVL树失衡后平衡化操作分为四种: LL、RR、RL、LR LL的意思为: 整棵树失衡的原因在于根节点的左节点的左节点导致的失衡,有可能是左节点的左节点本身(即一条链的情况)导致的失衡,或者是左节点的左节点上多添加了节点导致的失衡 其他RR、RL、LR类似
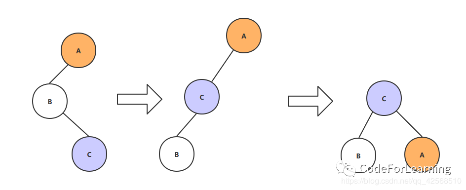
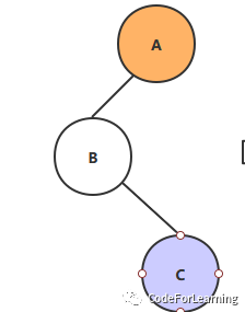
左节点的左节点本身(即一条链的情况)导致的失衡:
此图中,A的左子树树深为2,右子树树深为0,即2-0>=2,即整体失衡,根节点为A,此时为LL型,即A节点的左节点(B)的左节点(C)本身导致的失衡。
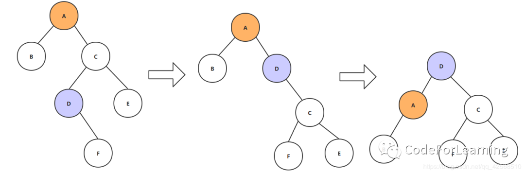
左节点的左节点上多添加了节点导致的失衡
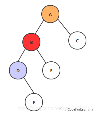
此时以A为根节点的左子树深度为3,右子树深度为1,3-1>=2,失衡,此时也为LL型,失衡节点为D,因为它加了一个F节点导致的失衡。
那么如何分辨LL、RR、LR、RL的L和R呢?很简单,根据失衡的树中,如果左子树深度大于右子树深度(例如上面的LL),则该情况为LL或LR,反之则为RR或RL
LL型详解
LL型分成三种情况
LL型第一种情况
先说解决方案:以根节点的左节点当做旋转中心,将根节点右旋
这种情况因为形成一条链,导致A节点的左右节点之差的绝对值大于等于2,所以需要进行平衡化操作,具体操作为: 以根节点的左节点当做旋转中心,将根节点A右旋:
LL型的第二种情况
如何判断是否失衡 :即一个节点一个节点的左右子树的深度来判断,例如上图B的左子树深度为2,右子树深度为1,此时2-1<2,平衡,当以A为根节点时,A的左子树深度为3,右子树深度为1,失衡,所以失衡的原因在左子树太深,即LL型或LR型(后面讲),且深度为各个节点中最大的数值
在这个图中:导致失衡的原因为D点上多了一个F导致的失衡(当把F去掉,整棵树平衡),所以就需要根据LL型的解决方法来解决: 将根节点根据根节点的左节点做右旋,即A根据B做右旋,其他节点的关系保持不变即:
此时由于B节点有右节点, 即右旋前会先将B的右节点E去掉,然后再右旋,再根据查找树的规则将E插入到符合规则的位置 ,即A>E>B,此时旋转过来后要保持A>E>B,所以只能插在A的左节点处。
LL型第三种情况
第三种情况和第二种其实是一致的,只是F点由D的左节点改成了右节点,只影响结果中的F的位置,这里不足赘述
RR型
跟LL型一致, RR型为根节点的右节点的右节点导致的失衡 解决方案 : 将根节点根据根节点的右子树左旋
RR第一种情况
很明显这是由于根节点的右节点的右节点本身导致的失衡,解决方案,A围着B做左旋
RR第二种情况
和LL一样,这里的原因是根节点的右子树的右子树由于增加了一个节点F导致的失衡,解决方案:将A围着C左旋,这里有D点占了位置,此时LL一样,先将D点移除,待左旋完成后,再根据定义插入
RR第三种情况
这里和第二种情况类似不再延伸
RL型
根据上面的讲解来推理: RL为根节点的右节点的左节点导致的失衡 解决方法:先根据根节点的右节点根据失衡节点右旋变成RR,再根据RR的解决办法左旋即可
RL型第一种情况
由于根节点的右节点的左节点导致的失衡,此时需要根据根节点的右节点根据失衡节点右旋,即B根据C来右旋B,即
这就变成了一个RR,后根据RR的处理方式左旋即可,所以结果为:
RL型第二种情况

如何判断是RR、LL、RL、LR的哪一种类型?先找出有问题子树,在这个图中,A节点的左子树的深度为1,右子树深度为3,所以右子树有问题需要平衡右子树,即RR或RL的一种,那么怎么确定是哪一种? 具体方法为找到深度最深的那一条,即A-C-D-F,即是因为此条路径导致的不平衡,所以根据图来看,C为右节点,D为左节点,所以这一种情况为RL型 ,假如上图中是E节点的路径更长,那么就是RR了(具体问题具体分析)
所以在这张图中, 我们需要把C根据失衡节点D点右旋,变成了RR,在左旋即可,其他未旋转节点之间的关系保持不变
RL型第三种情况
这里和第二种情况一样,只改变了F节点的位置,由于旋转时会替换掉F节点,所以F节点需要先脱离,后旋转完成(一次旋转而不是成为平衡)后再插入
LR型
这个就和之前的一样了 LR为根节点的左节点的右节点导致的失衡 解决方法:先根据根节点的左节点根据失衡节点左旋变成LL,再根据LL的解决办法右旋即可
LR型第一种情况
先B根据A左旋,变成一个LL,再右旋
LR第二种情况
这里不需要在讲解了
LR第三种情况
这里同样不做赘述
总结
| 类型 | 操作方法 |
| RR型 | 根节点根据根节点的右节点左旋 |
| LL型 | 根节点根据根节点的左节点右旋 |
| LR型 | 根节点的左节点根据失衡节点左旋变成LL再右旋 |
| RL型 | 根节点的右节点根据失衡节点右旋变成RR再右旋 |
注意事项 | |
| 在进行有些旋转的时候,如果旋转后的地方原本有节点,那么就先将原有节点删去,待旋转完成后根据搜索树的特点将其插入 | |
| 假如来一张图,该如何判断失衡和什么类型的失衡? | |
| 这个位图都在上面回答了,分别在LL型第二种情况下,和RL型第二种情况下,请自行查看。 |
课后题
将 {12,4,1,3,7,8,10,9,2,11,6,5}组成一个AVL树,方法为逐个构建,然后在失衡的时候调整平衡,再添加子节点
正确答案为
相关来源
https://www.bilibili.com/video/BV1e4411x7rZ




