本文介绍Deep&Cross模型,它沿用了Wide&Deep模型的设计思路,并且将Wide&Deep的Wide部分使用Cross Network进行了替换,解决了Wide&Deep需要人工选取交叉特征的麻烦。
Deep&Cross模型结构如下:
从下往上看。
将稀疏特征进行Embedding,将得到的结果与稠密特征(一般指的是数值型特征)进行拼接,这就是网络的输入.
再往上兵分两路,左路是Cross Network部分,右路是Deep部分。
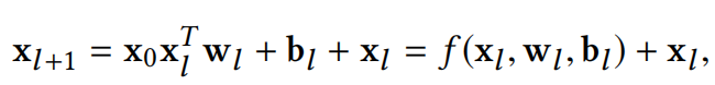
先看左路。它是由多个Cross Layer构成的,Cross Layer执行的前向运算如下:
该运算可视化如下:
可以看到 ,在每一层中都有参与。
事实上,随着Cross Layer的层数增加,原始输入各个位置元素交叉的阶数也在增加,具体参见如下推导:
正因如此,Cross Network相比于Wide&Deep中的Wide部分拥有更强的特征交叉能力,而且,每一个Cross Layer的参数只有和,它们的维度和的维度一致,因此参数量是线性的,相比于Deep部分的参数量几乎可以忽略不计。
再看右路。它和Wide&Deep中的Deep部分一样,都是堆叠了多个全连接层+激活函数。
当左路和右路均执行完毕后,两者的输出结果被拼接在一起,映射到一个神经元,然后将其经过函数,就得到了最终的预测结果。
以上。
参考资料:
[1] https://www.bilibili.com/video/BV1c64y1C7Wh?spm_id_from=333.999.0.0 [2] https://arxiv.org/pdf/1708.05123.pdf
南极Python交流群已成立,长按下方二维码添加我的微信,备注加群即可,欢迎进群学习交流(划水
)

文章转载自南极Python,如果涉嫌侵权,请发送邮件至:contact@modb.pro进行举报,并提供相关证据,一经查实,墨天轮将立刻删除相关内容。






