在之前,我们介绍了协同过滤模型(传送门),该模型根据用户的行为历史生成用户-物品共现矩阵,利用用户相似性和物品相似性进行推荐。
本文要介绍的AutoRec也使用了用户-物品共现矩阵,但与协同过滤模型的不同之处在于,AutoRec借鉴了自编码器(AutoEncoder)的思想,对用户向量或物品向量进行了自编码,利用自编码结果得到用户对于物品的评分,据此进行推荐排序。
还不熟悉自编码器的小伙伴,可以先看下这篇文章:
假设共m个用户,n个物品,则共现矩阵的维度为mxn。
以物品的AutoRec(Item based AutoRec)为例,对应AutoRec的模型结构如下:
下方的代表全部m个用户对于物品i的评分,它是一个m维的向量。中间层蓝色的两个圈圈代表隐藏层的两个神经元,于是,从下方的到中间层的过程就对应着自编码器的编码过程。同理,从中间层到上方的的过程对应了自编码器的解码过程。
通常,并不是所有用户都对物品i进行了评分,为了方便描述,这里暂且将这些称之为缺失位置。
在进行训练时,下方的m维向量中对应的缺失位置会使用平均值等统计量进行填补,将填补后的向量其输入AutoRec,得到的输出结果也是一个m维向量。通过训练,中间的隐藏层就具有了将输入训练的压缩结果"恢复"的能力,这种"恢复"顺带着能够将缺失值预测出来。
前向传播过程:
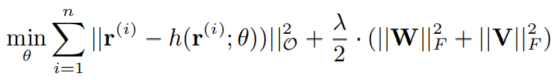
损失函数:
注意,缺失位置填补的元素并不参与损失的计算。
在进行预测时,该系列的第i个位置的元素便是用户对于物品i的预测评分。
其实,个人觉得,训练时不妨全部使用不含缺失的数据,然后手动挖去一些位置,假装是缺失的。这样,训练集的输入含有缺失(真正输入时按照上面说的方法进行填补),而计算损失时则使用原本不含缺失的数据与预测的数据。这样或许能够学的更好吧~
但无论怎样,AutoRec在一定程度上开创了将深度学习应用于推荐系统的先河,在这之后,更多有效的深度学习推荐模型被提出,深度推荐模型的时代已经到来了。
参考:
[1] https://www.researchgate.net/publication/311491420_AutoRec_Autoencoders_Meet_Collaborative_Filtering [2] https://www.jianshu.com/p/e8a2e4073e41 [3] 王喆-《深度学习推荐系统》
南极Python交流群已成立,长按下方二维码添加我的微信,备注加群即可,欢迎进群学习交流(划水
)





