
点击上方蓝字关注DolphinScheduler(海豚调度)

|作者:鲍亮
|编辑:卢凯瑞
1 名词解释
DAG,全称:Directed Acyclic Graph,中文:有向无环图 入度:有向图中某点作为图中边的终点的次数之和 出度:对于有向图来说,顶点的出边条数即为该顶点的出度
2 调度系统中的有向无环图
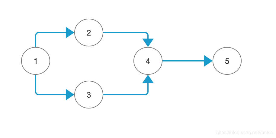
数据调度系统中,多个任务之间的依赖关系,用图可以表示,如下图所示,每个顶点表示一个任务,箭头方向表示任务的执行顺序。任何顶点都无法经过边回到该顶点,则该图就是无环图,即为有向无环图(DAG图)。

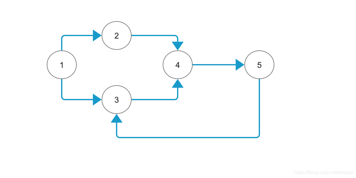
那么在有向图中,如果有环的存在,如图示:

在有环的情况下,任务3的执行需要任务5完成,而5的执行又需要3,4依次执行完成,这样就会造成死循环,此调度任务永远无法成功执行。所以在调度系统中,对于无环的检测就非常重要。
3 无环检测
在调度系统中,检查图是否有环,分两种场景:1. 编辑图的过程中每一步操作都需要对其做无环检测;2. 对已经存在的图进行拓扑排序,检测是否有环。
3.1 编辑时检测
对于新创建的图来说,每增加一条边,都需要检测,这条边是否导致环的存在 思路:如图1到图2, 如果要加一条5到3的边,就从3开始遍历后续顶点,如果能回到顶点5的话就证明新加的边导致环的产生;如果不能回到5,证明新添加的边不会导致有环。检测代码如下:
/**
* 判断增加边(fromVertex --> toVertex)是否合法,需要判断是否符合无环的约束
*
* @param fromVertex 起点
* @param toVertex 终点
* @param createVertex 是否创建结点
* @return
*/
private boolean isLegalAddEdge(Vertex fromVertex, Vertex toVertex, boolean isCreate) {
if (fromVertex.equals(toVertex)) {
logger.error("edge fromVertex({}) can't equals toVertex({})",fromVertex,toVertex);
return false;
}
if (!isCreate) {
if (!hasVertex(fromVertex) || !hasVertex(toVertex)){
logger.error("edge fromVertex({}) or toVertex({}) is not in vertices map",fromVertex,toVertex);
return false;
}
}
Queue<Vertex> queue = new LinkedList<>();
queue.add(toVertex);
int verticesCount = getVerticesCount();
//如果没有找到fromVertex, 表示无环;
while (!queue.isEmpty() && verticesCount > 0) {
verticesCount -= 1;
Vertex key = queue.poll();
// 遍历后续顶点
for (Vertex subsequentVertex : getSubsequentNodes(key)) {
if (subsequentVertex.equals(fromVertex)) {
return false;
}
queue.add(subsequentVertex);
}
}
return true;
}
3.2 拓扑排序检测
有向图的拓扑排序,思路如下:
遍历图中所有的顶点,将入度为0的顶点入队列(如果多个顶点入度为0,取顶点顺序可能不一样,所以此处排序结果可能是多个)。 从队列中poll出一个顶点,更新该顶点的邻接点的入度(减1),如果邻接点的入度减1之后等于0,则将该邻接点入队列。 一直执行第2步,直到队列为空。 如果无法遍历完所有的结点,则意味着当前的图不是无环图。不存在拓扑排序。
例如图1 入度出度:
| 顶点 | 入度 | 出度 |
|---|---|---|
| 顶点1 | 0 | 2 |
| 顶点2 | 1 | 1 |
| 顶点3 | 1 | 1 |
| 顶点4 | 2 | 1 |
| 顶点5 | 1 | 0 |
拓扑排序流程如下:

java实现如下:
/**
* 判断是否有环及拓扑排序结果
*
* 有向无环图(DAG)才有拓扑(topological)排序
* 广度优先遍历的主要做法:
* 1、遍历图中所有的顶点,将入度为0的顶点入队列。
* 2、从队列中poll出一个顶点,更新该顶点的邻接点的入度(减1),如果邻接点的入度减1之后等于0,则将该邻接点入队列。
* 3、一直执行第2步,直到队列为空。
* 如果无法遍历完所有的结点,则意味着当前的图不是有向无环图。不存在拓扑排序。
*
*
* @return key返回的是状态, 如果成功(无环)为true, 失败则有环, value为拓扑排序结果(可能是其中一种)
*/
private Map.Entry<Boolean, List<Vertex>> topologicalSortImpl() {
//入度为0的结点队列
Queue<Vertex> zeroIndegreeVertexQueue = new LinkedList<>();
//保存结果
List<Vertex> topoResultList = new ArrayList<>();
//保存入度不为0的结点
Map<Vertex, Integer> notZeroIndegreeVertexMap = new HashMap<>();
//扫描所有的顶点,将入度为0的顶点入队列
for (Map.Entry<Vertex, VertexInfo> vertices : verticesMap.entrySet()) {
Vertex vertex = vertices.getKey();
int inDegree = getIndegree(vertex);
if (inDegree == 0) {
zeroIndegreeVertexQueue.add(vertex);
topoResultList.add(vertex);
} else {
notZeroIndegreeVertexMap.put(vertex, inDegree);
}
}
//扫描完后,没有入度为0的结点,说明有环,直接返回
if(zeroIndegreeVertexQueue.isEmpty()){
return new AbstractMap.SimpleEntry(false, topoResultList);
}
//采用topology算法, 删除入度为0的结点和它的关联边
while (!zeroIndegreeVertexQueue.isEmpty()) {
Vertex v = zeroIndegreeVertexQueue.poll();
//得到相邻结点
Set<Vertex> subsequentNodes = getSubsequentNodes(v);
for (Vertex subsequentVertex : subsequentNodes) {
Integer degree = notZeroIndegreeVertexMap.get(subsequentVertex);
if(--degree == 0){
topoResultList.add(subsequentVertex);
zeroIndegreeVertexQueue.add(subsequentVertex);
notZeroIndegreeVertexMap.remove(subsequentVertex);
}else{
notZeroIndegreeVertexMap.put(subsequentVertex, degree);
}
}
}
//notZeroIndegreeVertexMap如果为空, 表示没有环
AbstractMap.SimpleEntry resultMap = new AbstractMap.SimpleEntry(notZeroIndegreeVertexMap.size() == 0 , topoResultList);
return resultMap;
}
}
输出每个顶点的同时还要删除以它为起点的边。如果图有V个顶点,E条边,则一般该算法的时间复杂度为O(V+E)。这里实现的算法最终key返回的是状态, 如果成功(无环)为true, 失败则有环, 无环时value为拓扑排序结果(可能是其中一种)。
他们正在使用Apache DolphinScheduler

文章转载自海豚调度,如果涉嫌侵权,请发送邮件至:contact@modb.pro进行举报,并提供相关证据,一经查实,墨天轮将立刻删除相关内容。




