同步更新公众号:https://blog.csdn.net/zhanht/article/details/89436460
频繁项挖掘广泛的应用于寻找关联的事物。最经典的就是,电商企业通过分析用户的订单,挖掘出经常被共同购买的商品,用于推荐。
本文首先介绍频繁项挖掘技术的演进,从暴力求解到Aprioir算法。然后,通过一个案例详细的讲解FP-Growth的原理。接下来介绍并行FP-Growth算法怎么通过3次map-reduce实现了并行化。最后通过分析spark mlib包中PFP-Growth的核心实现代码,进一步加深理解。
假设我们的Transaction数据库有5条交易数据,如下表,其中abcde为5个商品。假设设定minSupport = 0.4,即要求至少共同出现2次。
| id | 购买的商品 |
|---|---|
| 1 | a b d |
| 2 | b c d |
| 3 | a b e |
| 4 | a b c |
| 5 | b c d |
表1:交易数据
一:频繁项挖掘的技术演进
1. 暴力求解
5个sku,一共有2的5次方种购买可能,如下图所示。暴力求解循环每种可能,全量扫描交易数据库计算购买次数,看其是否超过设定的minSupport,进而判断是否是频繁项。

图1: 暴力求解
2. Apriori算法
上述的暴力求解方式对每种可能都会进行数据库的全表扫描,效率低下。因此有学者提出了Apriori算法。Apriori中文含义是先验的,因为算法基于这么一个先验知识:当购买组合A不是频繁项时,那么包含A的任何超集也必然不是频繁项。
通过这个先验知识,可以避免大量的无效数据库扫描,提高效率,提高的程度取决于交易数据和设置的minsupport。示意图如下所示:

图2: Apriori算法示意图
二:FP-Growth算法
FP-Growth算法更进一步,通过将交易数据巧妙的构建出一颗FP树,然后在FP树中递归的对频繁项进行挖掘。
FP-Growth算法仅仅需要两次扫描数据库,第一次是统计每个商品的频次,用于剔除不满足最低支持度的商品,然后排序得到FreqItems。第二次,扫描数据库构建FP树。
还是以上面的交易数据作为例子,接下来一步步的详细分析FP树的构建,和频繁项的递归挖掘。
2.1 统计频次
第一步,扫描数据库,统计每个商品的频次,并进行排序,显然商品e仅仅出现了一次,不符合minSupport,剔除。最终得到的结果如下表:
| 商品 | 频次 |
|---|---|
| b | 5 |
| a | 3 |
| c | 3 |
| d | 3 |
表2: 商品的出现频次
2.2 构建FP树
第二步,扫描数据库,进行FP树的构建。FP树以root节点为起始,节点包含自身的item和count,以及父节点和子节点。
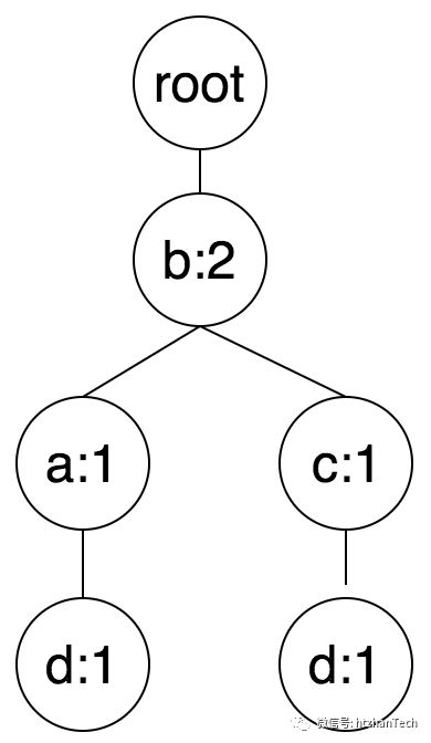
首先是第一条交易数据,a b d,结合第一步商品顺序,排序后为b a d,依次在树中添加节点b,父节点为root,最新的的频次为1,然后节点a,父节点为a,频次为1,最后节点d,父节点为b,频次为1。如下图所示:

图3: 第一条交易后的FP树
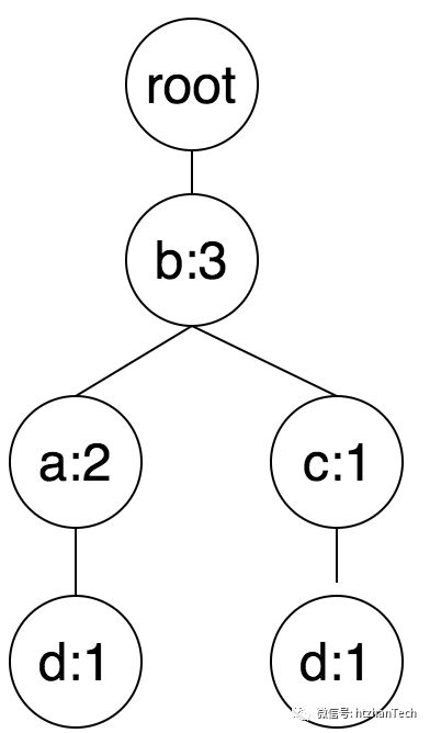
然后是第二条交易数据,排序后为:b c d。依次添加b,树中已经有节点b,因此更新频次加1,然后是节点c,b节点当前只有子节点d,因此新建节点c,父节点为b,频次为1,最后是d,父节点为c,频次为1。

图4: 第二条交易后的FP树
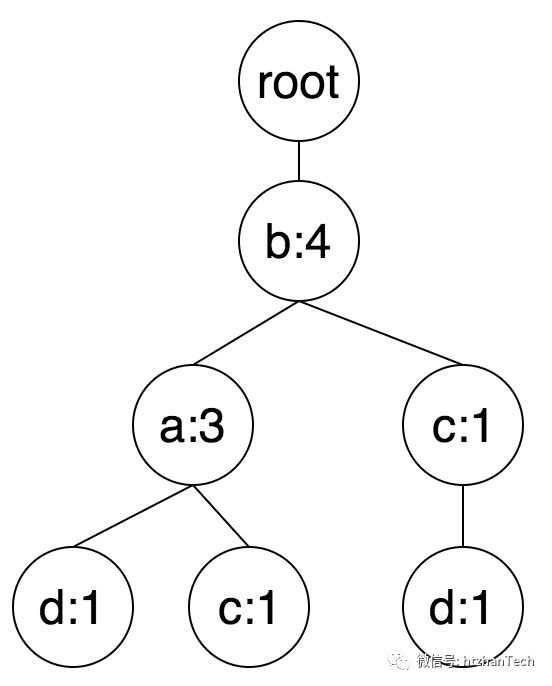
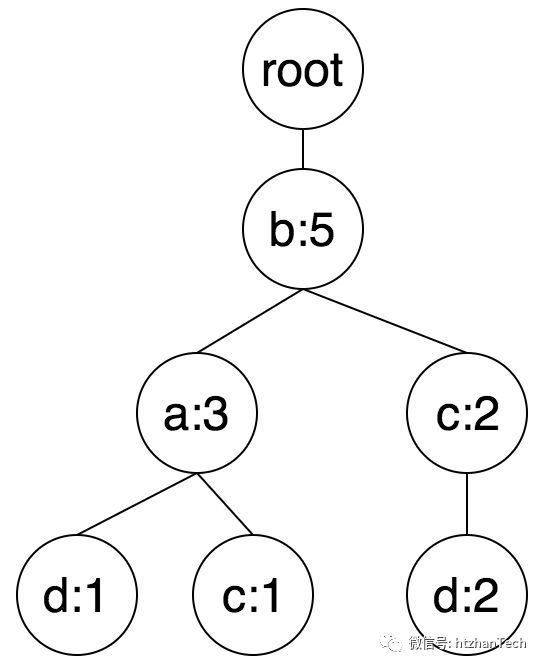
后面三条交易数据的处理和前两条一样,就不详细阐述了,直接画出每次处理完的FP树示意图。

图5: 第三条交易后的FP树

图6: 第四条交易后的FP树

图7: 第五条交易后的FP树,也即最终的FP树
2.3 频繁项的挖掘
2.3.1 商品b频繁项的挖掘
首先是商品b,首先b节点本身的频次符合minSupport,所以是一个频繁项(b : 5),然后b节点往上找subTree,只有根节点,所以结束,b为前缀的频繁项只有一个:(b : 5)。
2.3.2 商品a频繁项的挖掘
然后是a,显然a本身是个频繁项(a : 3),然后递归的获取a的子树,进行挖掘。子树构建方式如下:新建一个新的FP树,然后遍历树中所有的a节点,往上找,直到root节点,然后把当前路径上的非根节点添加到subTree中,每个节点的频次为当前遍历节点的频次。
因为a只有一个节点(a, 3),所以往上遍历得到节点b,因此把b加入subTree中,频次为节点(a, 3)的频次3。得到如下subTree,显然在这个subTree中只能挖掘出频繁项(b : 3),然后别忘了这是a递归得到的子树,得拼上前缀a,所以得到频繁项为(ab : 3)

图8:a的子树
此时的subTree只有一个节点(b, 3),不用进一步递归,因此商品a的频繁项挖掘结束,有两个频繁项为:(a : 3), (ab : 3)。
2.3.3 商品c频繁项的挖掘
商品c在FP树中包含两个节点,分别为: (c, 1), (c, 2)。显然c自身是个频繁项(c : 3),然后进行递归。(c, 1)节点往上路径得到如下节点:(a, 1), (b, 1)。节点(c, 2)往上得到(b, 2),上述三个节点可以构造出如下的subTree:

图9 :c的子树
subTree中的节点(b, 3)符合minsupport,拼上前缀c得到频繁项(bc : 3)。节点(a, 1)不满足要求,丢弃。
因此,c挖掘出的频繁项为:(c:3), (cb : 3)
2.3.4 商品d频繁项的挖掘
同理,(d : 3)是一个频繁项,d的subTree为:

图10 :d的子树
子树首先挖出(c : 2),(b : 3),拼上前缀d得到(dc : 2),(db : 3),然后subTree中的节点c的subTree仅仅有根节点和节点(b, 2),拼上两个前缀得到(dcb : 2)
2.3.5 最终结果和验证
通过上述的挖掘过程,我们依次挖出了如下9个频繁项:(b : 5), (a : 3), (ab : 3), (c:3), (cb : 3), (d : 3), (dc : 2),(db : 3), (dcb : 2)
我们通过pyspark进行下验证,得到的结果和我们一步步推算的结果丝毫不差。
#!/usr/bin/env python3
#encoding:utf-8
from pyspark.sql import SparkSession
ss = SparkSession.builder \
.appName("test_fp") \
.config("spark.executor.memory", "32G") \
.config("spark.driver.memory", "32G") \
.config("spark.python.worker.memory", "32G") \
.config("spark.default.parallelism", "4") \
.config("spark.executor.cores", "8") \
.config("spark.sql.shuffle.partitions", "500") \
.config("spark.sql.crossJoin.enabled", "true")\
.config("spark.sql.broadcastTimeout","36000") \
.enableHiveSupport() \
.getOrCreate()
data = [["a", "b", "d"], ["b", "c", "d"], ["a", "b", "e"], ["a", "b", "c"],["b", "c", "d"]]
rdd = ss.sparkContext.parallelize(data, 2)
from pyspark.mllib.fpm import FPGrowth
model = FPGrowth.train(rdd, 0.4, 2)
model.freqItemsets().collect()
# 结果如下:
#[FreqItemset(items=['a'], freq=3),
#FreqItemset(items=['a', 'b'], freq=3),
#FreqItemset(items=['b'], freq=5),
#FreqItemset(items=['d'], freq=3),
#FreqItemset(items=['d', 'b'], freq=3),
#FreqItemset(items=['c'], freq=3),
#FreqItemset(items=['c', 'd'], freq=2),
#FreqItemset(items=['c', 'd', 'b'], freq=2),
#FreqItemset(items=['c', 'b'], freq=3)]
三:Parallel FP-Growth
当交易的数据量级太大时,单机版本的FP-Growth内存将无法放下完整的FP树,并且单机效率较慢。如果能够实现并行化那就再好不过了,但是怎么将一颗完整的FP树拆分成多棵小树,分别在不同的机器节点上运行FP-Growth,这些小树得出的结果汇总后不会丢失频繁项,这是关键所在。
在这样的背景下,Google北京研究院相关人员提出了PFP(Parallel FP-Growth)[1],通过3次Map-Reduce操作对FP-Growth进行了并行化运行。目前各大开发包的实现也都是基于这一篇文章实现的,包括spark和mahout。
通过前面一步步的构建FP树和频繁项挖掘过程,大家应该发现了,挖掘某一个商品的频繁项时,并不是所有的交易数据都是有用的,显然不包含此商品的交易数据肯定是冗余的。PFP的关键就是将商品进行分堆到不同的机器节点上运行,每个节点获取和自己负责的节点相关的部分交易数据,然后后续的构建树和挖掘频繁项工作则是一样的。
第一个map-reduce用于统计每个item的频次,得到frequentSets,功能类似于wordCount。
第二个map-reduce实现分布式的FP-Growth,是关键所在。mapper负责生成group-dependent transactions。首先将frequentSets进行分堆,假设分为两堆,得到如下表的G_list。第一台机器负责b和a的频繁项挖掘,第二台机器负责c和d频繁项的挖掘。
| 商品 | 频次 | group_id(后面简写为gid) |
|---|---|---|
| b | 5 | 1 |
| a | 3 | 1 |
| c | 3 | 2 |
| d | 3 | 2 |
表3:G_list
然后开始划分交易数据,以第一条a b d为例,排序后为b a d。从后往前遍历,首先是d,gid为2,所以得到如下交易数据<2, (b a d)>,第一项为gid,第二个为对应的交易数据。第二个为a,gid为1,得到<1, (b a)>,因为d的频次小于b和a,所以d的存在与否对以b和a为前缀的频繁项挖掘没影响,只对d为前缀的频繁项有作用。最后是d,gid=2,因为已经有了gid=2的交易数据,因此不用处理。
通过上述步骤,可以生成各个group_id需要的交易数据,然后送个reducer。Reducer负责在这些交易数据上进行普通的FP-Growth操作,进行自己负责的item的频繁项的挖掘。
第三次map-reduce对上述不同分区产生的频繁项进行聚合得到最终结果。总体示意图如下:

图11: PFP运行示意图
四:Spark mlib实现核心方法解析
spark中mlib包对上述的PFP进行了实现,在FPGrowth类的run方法中,代码如下:
def run[Item: ClassTag](data: RDD[Array[Item]]): FPGrowthModel[Item] = {
if (data.getStorageLevel == StorageLevel.NONE) {
logWarning("Input data is not cached.")
}
val count = data.count()
// 计算最小的频次
val minCount = math.ceil(minSupport * count).toLong
// 如果没设置分区数量,就使用训练数据的分区数
val numParts = if (numPartitions > 0) numPartitions else data.partitions.length
val partitioner = new HashPartitioner(numParts)
// 类似wordCount 实现每个item 频次的统计
val freqItems = genFreqItems(data, minCount, partitioner)
// 频繁项的挖掘
val freqItemsets = genFreqItemsets(data, minCount, freqItems, partitioner)
new FPGrowthModel(freqItemsets)
}
考虑篇幅有限,统计item的频次比较简单,就不阐述了。下面介绍生成频繁项的方法:
private def genFreqItemsets[Item: ClassTag](
data: RDD[Array[Item]],
minCount: Long,
freqItems: Array[Item],
partitioner: Partitioner): RDD[FreqItemset[Item]] = {
val itemToRank = freqItems.zipWithIndex.toMap
data.flatMap { transaction =>
// 得到每个分区相关的交易数据
genCondTransactions(transaction, itemToRank, partitioner)
// 按照key进行聚合,key为group_id
}.aggregateByKey(new FPTree[Int], partitioner.numPartitions)(
// 用交易数据对树进行构建
(tree, transaction) => tree.add(transaction, 1L),
// 因为是key是group_id,所以不同item树可能不再一个分区中,
// 所以不同分区,同一个group_id的树进行合并
(tree1, tree2) => tree1.merge(tree2))
.flatMap { case (part, tree) =>
// 对不同gid下的树,进行频繁项的挖掘,第二个参数控制只挖自己gid负责的item
tree.extract(minCount, x => partitioner.getPartition(x) == part)
}.map { case (ranks, count) =>
new FreqItemset(ranks.map(i => freqItems(i)).toArray, count)
}
}
然后是看怎么生成各个group相关的交易数据的。
private def genCondTransactions[Item: ClassTag](
transaction: Array[Item],
itemToRank: Map[Item, Int],
partitioner: Partitioner): mutable.Map[Int, Array[Int]] = {
val output = mutable.Map.empty[Int, Array[Int]]
val filtered = transaction.flatMap(itemToRank.get)
ju.Arrays.sort(filtered)
val n = filtered.length
var i = n - 1
while (i >= 0) {
val item = filtered(i)
// 从后往前。得到item对应的group_id
val part = partitioner.getPartition(item)
if (!output.contains(part)) {
// 如果输出没有这个group_id的数据,加进输出。key为group_id
output(part) = filtered.slice(0, i + 1)
}
i -= 1
}
output
}
FP树的构建
def add(t: Iterable[T], count: Long = 1L): this.type = {
require(count > 0)
var curr = root
curr.count += count
t.foreach { item =>
// summaries用于维护每个item的频次和关联的节点
val summary = summaries.getOrElseUpdate(item, new Summary)
summary.count += count
// 如果当前curr指向节点的子节点没有item,则新建节点,父节点为curr,更新summary
val child = curr.children.getOrElseUpdate(item, {
val newNode = new Node(curr)
newNode.item = item
summary.nodes += newNode
newNode
})
child.count += count
// curr指向新加的节点
curr = child
}
this
}
频繁项的挖掘代码
def extract(
minCount: Long,
validateSuffix: T => Boolean = _ => true): Iterator[(List[T], Long)] = {
summaries.iterator.flatMap { case (item, summary) =>
// summaries维护了所有item的count和节点,拿到前缀符合,频次也符合的节点
if (validateSuffix(item) && summary.count >= minCount) {
// 首先单节点自身是个频繁项,然后拼接递归挖掘出的频繁项
Iterator.single((item :: Nil, summary.count)) ++
// 先生成item对应的子树,然后递归的进行挖掘
project(item).extract(minCount).map { case (t, c) =>
// 子树挖掘的频繁项记得拼上递归前的前缀
(item :: t, c)
}
} else {
Iterator.empty
}
}
}
子树的生成
private def project(suffix: T): FPTree[T] = {
// 新生成一棵树
val tree = new FPTree[T]
if (summaries.contains(suffix)) {
// 得到item的所有节点
val summary = summaries(suffix)
summary.nodes.foreach { node =>
var t = List.empty[T]
var curr = node.parent
// 往上获取到root路径上的所有节点
while (!curr.isRoot) {
t = curr.item :: t
curr = curr.parent
}
// 节点的频次都设置为当前node的频次
tree.add(t, node.count)
}
}
tree
}
五:总结
本文通过简单案例入手,一步步的分析FP-Growth的原理,包括FP树的构建,频繁项的挖掘。然后分析并行FP-Growth以及其在spark中的实现。
认真看完上述的分析,还不懂FP-Growth的算我输!!
六:参考文献
[1] : PFP: Parallel FP-Growth for Query Recommendation




