1、介绍
在4G LTE和5G NR等先进的无线通信系统中,UE应首先通过从广播信道携带的BS读取系统信息来应用下行链路(DL)同步,然后执行随机接入以获得上行链路(UL)同步。一旦同步,UE进入RRC CONNECTED(无线资源控制)状态,为后续数据传输做好准备。
在传统的4步RACH[1]中,UE和BS之间有两个UL/DL交互,其中第一个交互是通过使用在物理随机接入信道(PRACH)上传输的前导序列(Msg1)来计算定时提前(TA)。然后,对于第二次交互,UE应用TA在交付给BS的调度资源上传输UE身份(Msg3),以便网络和UE对用于后续数据传输的UE特定信息,即小区无线网络临时标识符(C-RNTI)有共同的理解。
这种4步随机接入虽然在接入可靠性方面提供了稳健的性能,但由于BS和UE之间需要两次交互,可能不是最有效的方式。例如,对于非地面网络(NTN)等场景,UE和BS(例如卫星)之间的往返延迟可能非常大,因此需要减少所需的交互次数。有鉴于此,3GPP社会提出了一种简化的2步随机接入过程[3],该过程将Msg1和Msg3组合成UE的单次传输(所谓的MsgA),BS反馈包括TA命令和C-RNTI以完成随机接入。通过减少BS和UE之间的交互次数,可以想象信令开销、功耗和延迟都可以显著降低。2步RACH的潜在问题是,MsgA没有先验信息(定时和资源分配),导致在小区大小相对较大时出现基于竞争的异步传输。这种行为与非正交多址(NOMA)非常相似[6],因此应进一步研究使用多用户检测(如MMSE SIC)的高级接收机。
本文的其余部分组织如下:第二节介绍了2步RACH的基本概念,主要包括信道结构和过程。第三节提供了评估结果,以显示2步RACH与4步RACH在信令开销、功耗和延迟方面的优势。第四节提出了一种先进的多窗口MMSE-SIC接收机,以解决UE复用和大定时偏移问题。第五节显示了PDR评估情况下2步RACH和4步RACH的数值结果。第六节是结论部分。
2、两步RACH概念
4步RACH和2步RACH的程序如图1所示。2步RACH可以被视为简化的随机接入过程,其中在第一步中,MsgA包含4步RACH中的Msg1前导码和Msg3有效载荷,在第二步中,MsgB包含4步RACH中的Msg2和Msg4。因此,在建立RRC连接之前,BS和UE之间只有一次交互。
A.MsgA的信道结构
对于2步RACH,物理上行链路共享信道(PUSCH)中的额外有效载荷将在第一步的MsgA中传输,其中至少包括4步RACH中Msg3的等效内容,并且可能还携带一些小数据。
MsgA有效载荷的时间和频率资源是预先配置的,这意味着不同的UE可以共享相同的资源。前导码用于识别UE并估计不同UE的定时偏移。
图1
定义了MsgA有效载荷的MsgA前导码和PUSCH时机之间的映射规则,以简化资源分配。在UE随机选择前导码后,将根据预定义的映射规则将用于估计信道的相关联的时间和频率资源以及解调参考信号(DMRS)资源分配给UE。
B.程序
图2显示了根据最新标准化进展的2步RACH过程,其中还包括与4步RACH的共存。
在小区中,RA类型选择阈值由BS为UE确定,以区分UE应选择2步RACH还是4步RACH。
图2
如果正确检测到2步RACH前导码,BS将发送回MsgB,根据MsgA PUSCH是否被正确解码,MsgB可分为成功随机接入响应(RAR)和回退RAR。回退RAR将指示UE从2步RACH回退到4步RACH
RACH通过重新传输Msg3而不是MsgA来实现。通过这种回退机制,可以保证延迟性能不低于4步RACH。
3、2步RACH VS 4步RACH
在本节中,展示了信令开销、UE功耗和数据传输延迟方面的一些定量分析结果。同时,对2步RACH和4步RACH的定量分析进行了比较。
A.信号开销评估
由于2步RACH的MsgA前导部分与4步RACH的Msg1保持相同,此外,MsgA有效载荷部分和Msg3的大小也假设相同,因此这部分信令开销比较的差异仅取决于下行链路信令。
考虑到2步RACH和4步RACH的下行信号,信令内容和开销如下:
Msg2:64比特(子报头8比特+定时提前命令12比特+UL授权27比特+TC-RNTI 16比特)
消息4:48位(争用解决标识48位)
MsgB(成功RAR):96位(子报头8位+定时提前命令12位+竞争解决标识48位+C-RNTI 16位+其他12位)
MsgB(回退RAR):64位(子报头8位+定时提前命令12位+UL授权27位+TC-RNTI 16位)
如图2所示,无论MsgA有效载荷是否被正确解码,2步RACH的其余过程都是不同的。因此,假设Msg3和MsgA PUSCH都有10%的误块率(BLER)工作点,则平均下行链路信令开销如下:
4步RACH:64+48=112位
两步RACH:90%*96+10%*(64+48)=97.6比特
因此,与4步RACH相比,2步RACH下行链路信令开销可以节省约13%。
B.电力消耗评估
考虑UE发起随机接入过程并发送0.5ms数据的2种情况。
场景1:4步RACH,在Msg4之后进行UL数据传输
场景2:MsgA中具有UL数据传输的2步RACH
4步RACH的功率假设和具体功耗可参考。2步RACH的具体功耗如表I所示。
因此,与4步RACH相比,具有UL数据传输的2步RACH可以节省约(462.5-350)/462.5=24%的功耗。
C.延迟评估
前导冲突对延迟有很大影响,因为它可能会导致重新传输。此外,由于无论是否对MsgA有效载荷进行解编码,2步RACH的剩余过程都是不同的,因此考虑了MsgA有效负载/Msg3解码失败的概率。对每个随机接入过程的延迟的具体分析可以参考中的延迟分析表。
表1
根据中的分析,假设业务密度为n个UE/RO,前导码冲突的概率可以表示为Pc=1−e−n/64。根据碰撞概率,可以得出Msg1或MsgA传输的平均数量为N=11-Pc。设P0表示Msg3或MsgA有效载荷解码失败的概率,并假设P0=10%。
4步RACH的总延迟计算可以显示为:
T1:PRACH事件的平均等待时间,1ms。
T2:平均退避时间,10ms。
T3:具有Msg3重传的4步RACH的剩余过程的总延迟,12ms。
T4:4步RACH剩余过程的总延迟,9.5毫秒。
2步RACH的总延迟计算可以表示为:

T5:回退4步RACH剩余过程的总延迟,10ms。
T6:2步RACH的剩余过程的总延迟,5ms。
在每个RO的不同UE数量和UE分布概率的情况下,延迟与分组到达率的关系如图3所示。
4、多窗口MMSE-SIC接收机
为了解决不同UE的异步传输和叠加有效载荷造成的潜在性能下降问题,本章研究了多窗口MMSE-SIC接收机。
A.MMSE检测
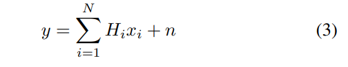
如前所述,通常多个UE选择映射到2步RACH的相同频率资源的前导码。因此,在接收机侧,叠加N个UE的接收信号可以表示为:

图3
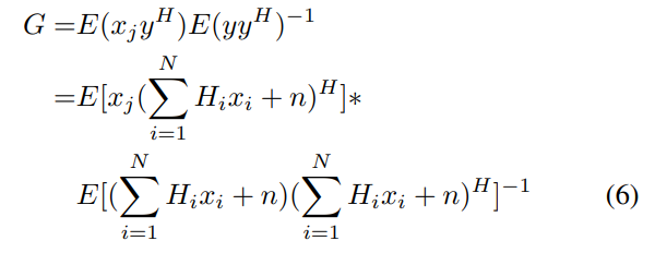
信道信息H可以使用发射机和接收机侧都熟知的DMRS序列来估计。第j个UE的目标估计值可以表示为xˆj,其中1≤j≤N。设x \710;j=Gy,其中G用于根据MMSE准则最小化估计误差。为了使均方误差最小化,
设F(G)=E[(xj-Gy)H
为了得到F的最小值,设∂F/∂G=0,可以推导出
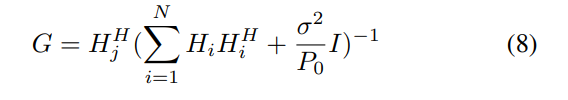
假设不同UE的发射信号之间没有相关性,此外,发射信号和噪声之间也没有相关性,则估计因子G等于
假设每个UE具有相同的发射功率P0,噪声功率可以表示为σ2,即e(xixHi)=P0,e(nnH)=σ2,G的表达式为
然后,可以根据估计值G和接收到的叠加信号y来估计第j个UE的发射信号
B.连续干扰消除
当获得估计的发射信号xˆj时,它将通过解调器,然后通过低密度奇偶校验码(LDPC)解码器。如果循环冗余校验(CRC)通过,这意味着发射信号xj被正确解码,则第j个UE的原始发射比特将经历整个发射机过程,以获得可以更准确地替换接收信号xj的重建信号。因此,接收信号y将抵消UE j的重建信号,并且新的总接收信号叠加了N-1个UE。
图4
MMSE-SIC接收机的优点是,一旦用户的信息比特被正确解码,用户造成的干扰就可以被消除(如果信道估计是精确的,几乎可以完全消除),用户可以从IC链中删除,从而降低复杂性。此外,还可以利用用户之间的远近效应进行信号干扰加噪声比(SINR)排序,以加速IC工艺并提高性能。
MMSE-SIC接收机具有相对较低的复杂度和稳健的性能,用于从叠加信号中连续解码多个用户的信号,如NOMA。
C.多窗口处理
在4步RACH中,在第一次交互期间使用Msg2中的TA命令实现定时对齐,因此第二次交互中的Msg3传输始终是同步的,这与2步RACH中的MsgA有效载荷传输不同。
在发送MsgA之前,UE没有先验知识,因此BS将从具有不同定时偏移的不同UE接收信号。对于2步RACH异步传输,在大小区的情况下,定时偏移可能会超过CP的范围,这可能会导致不同UE之间的符号间干扰。多窗口处理可用于处理异步问题,这意味着解码的总接收窗口大于实际传输的信号,因此可以确保没有有用的信号丢失。通过逐窗口使用MMSE-SIC,可以逐个解码和重建来自具有不同TA的不同UE的信号。
如上所述,由最大定时偏移和CP长度确定的检测窗口Nw的数量可以从站点间距离(ISD)LISD和CP占用时间TCP中得出,
其中c是光速。假设Tw是预定义的窗口时域长度,每个窗口都由TCP从上一个窗口移位,即第i个窗口将位于[(i−1)TCP,Tw+(i−1)TCP]。
通过Nw个检测窗口,不同UE的信号将落入Tof f≤TCP的检测窗口之一,定时偏移Tof f可以通过MsgA前导码进行估计。
例如,如果UE落入Tof f≤TCP的窗口1,如果UE的信号在第一个窗口中被正确解码,则可以用相应的定时偏移进行重建,然后转到第二个窗口以帮助解码其他UE的信号。
5、数值结果
A.模拟假设
仿真信道是基于NR规范38.802[11]的延迟扩展为30ns的TDL-A。目标小区被六个相邻的相同大小的小区包围,并考虑了小区间的干扰。定时偏移由前导码估计,信道状态信息由DMRS估计。根据相应的往返时间(RTT)计算的最大定时偏移是否超过正交频分复用(OFDM)符号的循环前缀,在本次仿真中可分为同步和异步场景:
同步:站点间距离为200米,载波频率为3.9 GHz,前导码和有效载荷的子载波间隔为30 kHz。前导码格式是长度为139的短序列格式A1。
异步:站点间距离为1732米,载波频率为700 MHz,有效载荷的子载波间隔为15 kHz。前导码格式是长序列格式0,子载波间隔为1.25 kHz,长度为839。
发起2步RACH并发送数据包的UE数量遵循泊松分布,每个MsgA传输机会中的平均数据包数量表示为λ。每个UE号码的出现概率如下:
其中m是不同UE号码的值,N是目标UE号码。
总频率资源为6个资源块(RB),每个RB包含12个子载波。PDR用作评估指标,计算方法为未成功解码的数据包数量除以生成的数据包总数。
B.干扰分析
将随机选择前导码,因此不同的UE有可能选择相同的前导码,在这种情况下,会发生前导码冲突。如果多个UE选择相同的前导码,BS将认为只有UE在传输,这将导致数据包明显丢失。由于前导码的数量是固定的,因此随着UE数量的增加,前导码冲突的概率也会增加。
图5
C.PDR绩效评估
对于2步RACH,MsgA有效载荷的PUSCH时机(PO)和PRB的数量是预先配置的。假设只有一次传输,即没有HARQ或重传,如果BS未能检测到MsgA有效载荷,则应该丢弃一个数据包。
给定PDR与UE数量的曲线,PDR与分组到达率(标准杆数)的值可以计算为:

图6
从图6中可以看出,两条红色曲线之间的比较表明,在同步传输中,MMSE-SIC接收机通过更有效地解决UE复用问题,与MMSE IRC(干扰抑制组合)接收机相比可以提供相当大的增益。10%PDR时可支持的数据包到达率已从8增加到10以上。
蓝色曲线之间的比较表明,在异步传输中,可以从两个方面提高性能,即多窗口处理和连续干扰消除。在10%PDR下,可支持的数据包到达率从约2.5增加到5。MMSE-SIC接收机似乎可以提供比多窗口处理更多的增强,这是因为使用ISD 1732m,最大可能的定时偏移小于1.5TCP,这意味着只有部分UE的定时偏移超过CP长度不多,这些UE可以获得有限的多窗口处理增益。可以预见,随着单元尺寸的增大,多窗口处理将发挥更重要的作用。4步RACH与2步RACH的调度方法不同,Msg3传输资源由BS在成功接收到Msg1后进行调度。此外,不同的UE将不会被分配到同一资源,即没有UE复用。只要上行链路的总传输资源不受限制,Msg3在4步RACH模拟中的性能就会随着分组到达率的增加而保持不变。
基于上述事实,只有当2步RACH和4步RACH PDR具有相同的资源开销时,比较它们的性能才有意义。图7描绘了总共6个PRB资源和6个UE的比较场景。随着有效载荷大小的增加,2步RACH和4步RACH的LDPC解码器的码率也随之提高。然而,由于2步RACH UE叠加在同一资源中,因此码率总是低于4步RACH,同时多UE干扰的影响也会导致性能下降。
如图8所示,当有效载荷相对较小时,多UE干扰的影响大于较低码率的优势。当有效载荷大小增加到更高时,4步RACH UE的码率迅速增加,性能变得比使用MMSE-IRC接收机的2步RACH差。此外,MMSE SIC接收机可以通过减少多UE干扰来显著提高2步RACH的性能,使2步RACH性能始终优于4步RACH。
6、总结
两步RACH可以简化随机接入过程,从而具有以下方面的优点:信令开销、功耗和传输UL数据的延迟。定量分析总结见表。根据性能评估,2步RACH在同一资源中支持大量复用UE。与4步RACH相比,使用MMSE-IRC接收机时,2步RACH在更大的有效载荷大小下表现出更好的性能,在更小的有效载荷尺寸下表现出更差的性能。此外,使用多窗口MMSE-SIC接收机,可以进一步提高2步RACH的同步和异步性能。




