点击关注公众号,干货第一时间送达

屏幕前的你,
没有看错
今天还是一道通过遍历数组构造二叉树的题目,
和前面的两篇文章:
互为三剑客。
掌握了这三道题目,
这类题型,就完全通晓了!
还是来自力扣:

原题链接:
https://leetcode.cn/problems/construct-binary-tree-from-inorder-and-postorder-traversal/
一、屏幕前的吴彦祖和刘亦菲们,请听题

举个例子:

结合前面两篇文章:
介绍的解题套路,
本题是不是手到擒来了!
二、解题

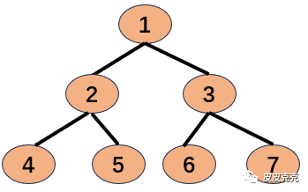
如上图,
可以直接看出,
中序遍历结果:inorder = [4, 2, 5, 1, 6, 3, 7]
后序遍历结果:postorder = [4, 5, 2, 6, 7, 3, 1]
代码过程:
1,后序遍历数组的最后一个元素肯定是根节点
这个位置的值,我们可以直接通过数组下标就能找到,
然后再找到这个值在中序遍历数组中的位置,
因为根据中序遍历的性质,根节点的左侧就是左子树的全部节点,
根节点的右侧就是右子树的全部节点:

2,同样的,后序遍历数组中,也可以通过中序数组可以确定的左右子树元素个数,找到后序数组中的左右子树范围:

3,然后呢,通过递归,进入到左右子树中,继续相同的步骤,进行划分,就能填充完整颗二叉树了
看看代码。
完整代码:
public class CodingDemo {
private static class TreeNode{
int val;
TreeNode left;
TreeNode right;
public TreeNode(int val) {
this.val = val;
}
}
/**
* 从中序和后序遍历序列构造二叉树
* @param inorder
* @param postorder
* @return
*/
public TreeNode buildTree2(int[] inorder, int[] postorder) {
for (int i = 0; i < inorder.length; i++) {
map.put(inorder[i], i);
}
return process3(inorder, postorder, 0, inorder.length-1, 0, postorder.length-1);
}
private static HashMap<Integer, Integer> map = new HashMap<>();
private static TreeNode process3(int[] inorder, int[] postorder, int iL, int iR, int pL, int pR){
if (iL > iR || pL > pR){
return null;
}
//后序数组的最后一个元素就是根节点
TreeNode root = new TreeNode(postorder[pR]);
//如果当前遍历只有一个元素,直接返回
if (iL == iR){
return root;
}
//找到根节点值,在中序遍历数组中的位置,用于划分左右子树
int index = map.get(postorder[pR]);
root.left = process3(inorder, postorder, iL, index-1, pL, pL+index-iL-1);
root.right = process3(inorder, postorder, index+1, iR, pL+index-iL, pR-1);
return root;
}
}
去力扣试试:


文章转载自皮皮克克,如果涉嫌侵权,请发送邮件至:contact@modb.pro进行举报,并提供相关证据,一经查实,墨天轮将立刻删除相关内容。




