

01.
背景介绍

02.
CLIP模型
2.1 关于CLIP模型
2.2 CLIP模型的应用

03.
Milvus
3.1 什么是Milvus
3.2 Milvus核心概念
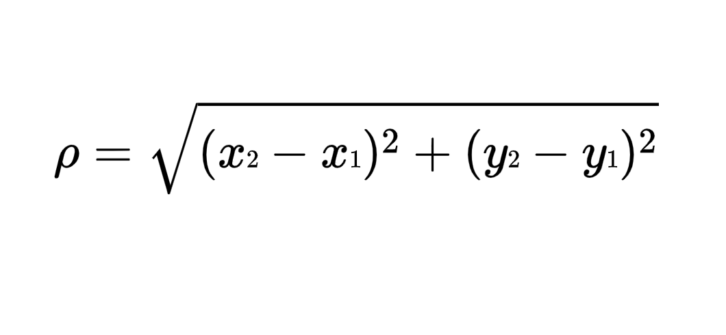
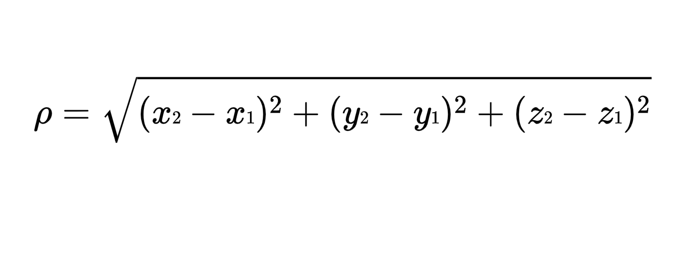
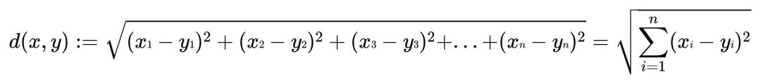
3.3 相似性计算原理



3.4 Milvus系统架构

3.5 选择Milvus的理由
04.
转转风控的实践
背景
4.1 Milvus的部署方式
4.2 特征向量的生成
4.3 索引结构的选择
4.4 数据过滤的实现
4.5 关于MMAP
4.6 一次搜索结果展示

作者介绍
许作红
转转风控后端研发工程师




文章转载自ZILLIZ,如果涉嫌侵权,请发送邮件至:contact@modb.pro进行举报,并提供相关证据,一经查实,墨天轮将立刻删除相关内容。





