基于图神经网络的知识追踪方法(论文复现)
本文所涉及所有资源均在传知代码平台可获取
Table of Contents
论文概述
论文链接提出了一种基于图神经网络的知识追踪方法,称为基于图的知识追踪(GKT)。将知识结构构建为图,其中节点对应于概念,边对应于它们之间的关系,将知识追踪任务构建为图神经网络中的时间序列节点级分类问题。在两个开放数据集上的实证验证表明,方法可以更好地预测学生的表现,并且该模型比先前的方法具有更可解释的预测。
贡献如下:
(1)展示了知识追踪可以重新构想为图神经网络的应用。
(2)为了实现需要输入模型的图结构,在许多情况下并不明确的情况下,我们提出了各种方法,并使用实证验证进行了比较。
(3)证明了所提出的方法比先前的方法更准确和可解释的预测
论文方法
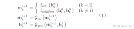
下面是本文提出GKT的体系结构。

聚合
模型聚合了回答的概念及其相邻概念的隐藏状态和嵌入。这种聚合使用隐藏状态、表示正确和错误答案的输入向量 xt,以及概念及其回答的嵌入矩阵Ex 和Ec 进行

更新
接下来,模型根据聚集的特征和知识图结构更新隐藏状态。这一步骤确保模型融合了当前概念及其在知识图中的相邻节点的信息

预测
最后,模型输出学生在下一时间步正确回答每个概念的预测概率

实验
数据集
使用了学生数学练习日志的两个开放数据集:ASSISTments 2009-2010“skill-builder”由在线教育服务 ASSISTments1(以下称为“ASSISTments”)提供和 Bridge to Algebra 2006-2007 [19] 用于KDDCup 教育数据挖掘挑战赛(以下简称“KDDCup”)。在这两个数据集中,每个练习都分配了人类预定义的知识概念标签。
使用特定条件预处理每个数据集。对于ASSISTments,将同时回答的日志合二为一,随后提取与命名概念标签相关联的日志,最后提取与至少10次回答的概念标签相关联的日志。对于 KDDCup,将问题和步骤的组合视为一个答案,然后提取与命名且非哑元的概念标签相关联的日志,最后提取至少 10 次回答的概念标签相关联的日志。由于频繁同时出现的标签,将同时的回答日志组合成一组可以防止不公平的高预测性能。排除未命名或虚拟的概念标签可以消除噪音。用回答每个概念标签的次数对日志进行阈值处理,以确保有足够数量的日志来消除噪音。在使用上述条件对数据集进行预处理后,为 ASSISTments 数据集获得了 62, 955 个日志,由 1, 000 名学生和 101 项技能组成,并为 KDDCup 数据集获得了 98, 200 条日志,由 1, 000 名学生和 211 项技能组成

实验步骤
Step1:处理数据集

Step2:进行训练

实验结果

核心代码
class GKT(KTM):
def __init__(self, ku_num, graph, hidden_num, net_params: dict = None, loss_params=None):
super(GKT, self).__init__()
self.gkt_model = GKTNet(
ku_num,
graph,
hidden_num,
**(net_params if net_params is not None else {})
)
# self.gkt_model = GKTNet(ku_num, graph, hidden_num)
self.loss_params = loss_params if loss_params is not None else {}
def train(self, train_data, test_data=None, *, epoch: int, device="cpu", lr=0.001) -> ...:
loss_function = SLMLoss(**self.loss_params)
trainer = torch.optim.Adam(self.gkt_model.parameters(), lr)
for e in range(epoch):
losses = []
for (question, data, data_mask, label, pick_index, label_mask) in tqdm(train_data, "Epoch %s" % e):
# convert to device
question: torch.Tensor = question.to(device)
data: torch.Tensor = data.to(device)
data_mask: torch.Tensor = data_mask.to(device)
label: torch.Tensor = label.to(device)
pick_index: torch.Tensor = pick_index.to(device)
label_mask: torch.Tensor = label_mask.to(device)
# real training
predicted_response, _ = self.gkt_model(question, data, data_mask)
loss = loss_function(predicted_response, pick_index, label, label_mask)
# back propagation
trainer.zero_grad()
loss.backward()
trainer.step()
losses.append(loss.mean().item())
print("[Epoch %d] SLMoss: %.6f" % (e, float(np.mean(losses))))
if test_data is not None:
auc, accuracy = self.eval(test_data)
print("[Epoch %d] auc: %.6f, accuracy: %.6f" % (e, auc, accuracy))
def eval(self, test_data, device="cpu") -> tuple:
self.gkt_model.eval()
y_true = []
y_pred = []
for (question, data, data_mask, label, pick_index, label_mask) in tqdm(test_data, "evaluating"):
# convert to device
question: torch.Tensor = question.to(device)
data: torch.Tensor = data.to(device)
data_mask: torch.Tensor = data_mask.to(device)
label: torch.Tensor = label.to(device)
pick_index: torch.Tensor = pick_index.to(device)
label_mask: torch.Tensor = label_mask.to(device)
# real evaluating
output, _ = self.gkt_model(question, data, data_mask)
output = output[:, :-1]
output = pick(output, pick_index.to(output.device))
pred = tensor2list(output)
label = tensor2list(label)
for i, length in enumerate(label_mask.numpy().tolist()):
length = int(length)
y_true.extend(label[i][:length])
y_pred.extend(pred[i][:length])
self.gkt_model.train()
return roc_auc_score(y_true, y_pred), accuracy_score(y_true, np.array(y_pred) >= 0.5)
def save(self, filepath) -> ...:
torch.save(self.gkt_model.state_dict(), filepath)
logging.info("save parameters to %s" % filepath)
def load(self, filepath):
self.gkt_model.load_state_dict(torch.load(filepath))
logging.info("load parameters from %s" % filepath)
文章代码资源点击附件获取




