点击上方【蓝色】字体 关注我们

01 场景描述
1960年—1985年全国社会商品零售额如图1 所示
表1全国社会商品零售额数据

问题:试用三次指数平滑法预测1983年和1985年全国社会商品零售额?
02 数据准备
create table sale_amount asselect '1960' years, '696.6' sale_amount from dual union allselect '1961' years, '607.7' sale_amount from dual union allselect '1962' years, '604' sale_amount from dual union allselect '1963' years, '604.5' sale_amount from dual union allselect '1964' years, '638.2' sale_amount from dual union allselect '1965' years, '670.3' sale_amount from dual union allselect '1966' years, '732.8' sale_amount from dual union allselect '1967' years, '770.5' sale_amount from dual union allselect '1968' years, '737.3' sale_amount from dual union allselect '1969' years, '801.5' sale_amount from dual union allselect '1970' years, '858' sale_amount from dual union allselect '1971' years, '929.2' sale_amount from dual union allselect '1972' years, '1023.3' sale_amount from dual union allselect '1973' years, '1106.7' sale_amount from dual union allselect '1974' years, '1163.6' sale_amount from dual union allselect '1975' years, '1271.1' sale_amount from dual union allselect '1976' years, '1339.4' sale_amount from dual union allselect '1977' years, '1432.8' sale_amount from dual union allselect '1978' years, '1558.6' sale_amount from dual union allselect '1979' years, '1800' sale_amount from dual union allselect '1980' years, '2140' sale_amount from dual union allselect '1981' years, '2350' sale_amount from dual union allselect '1982' years, '2570' sale_amount from dual

03 问题分析
2.1 模型构建
(1)符号规定

(2)基本假设
假设本问题考虑全社会商品零售额数据;假设本问题只考虑销售,不考虑其余因素假设本问题只考虑销售额总额,不考虑其余分支
(3)模型的分析与建立
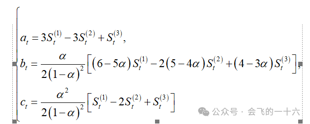
令加权系数
,则计算公式为

其中,
表示一次指数的平滑值;
表示二次次指数的平滑值;
表示三次指数的平滑值。初始值为
其中,

2.2 模型求解
步骤1:计算初始值
select years, sale_amount, last_value(init_sale_amount ignore nulls) over (order by YEARS) init_sale_amount, rnfrom (select years, sale_amount, casewhen rn = 1 then cast(avg(sale_amount)over (order by years rows between current row and 2 following ) as decimal(18, 1)) end init_sale_amount, rnfrom (select years, sale_amount, row_number() over (order by years) rnfrom sale_amount) t) t

步骤2 :计算一次平滑值
with init as (select years, sale_amount, last_value(init_sale_amount ignore nulls) over (order by YEARS) init_sale_amount, rnfrom (select years, sale_amount, casewhen rn = 1 then cast(avg(sale_amount)over (order by years rows between current row and 2 following ) as decimal(18, 1)) end init_sale_amount, rnfrom (select years, sale_amount, row_number() over (order by years) rnfrom sale_amount) t) t)--计算一次平滑值, s1 as (select t1.years, t1.sale_amount, t1.init_sale_amount, t1.rn, cast(sum(case when t2.rn <= t1.rn then t2.sale_amount * power(0.7, t1.rn - t2.rn) else 0 end) * 0.3 +power(0.7, t1.rn) * t1.init_sale_amount as decimal(18, 4)) s1_p3from init t1,init t2group by t1.years, t1.sale_amount, t1.init_sale_amount, t1.rn)select * from s1 order by years;

步骤3:计算二次平滑值
with init as (select years, sale_amount, last_value(init_sale_amount ignore nulls) over (order by YEARS) init_sale_amount, rnfrom (select years, sale_amount, casewhen rn = 1 then cast(avg(sale_amount)over (order by years rows between current row and 2 following ) as decimal(18, 1)) end init_sale_amount, rnfrom (select years, sale_amount, row_number() over (order by years) rnfrom sale_amount) t) t)--计算一次平滑值, s1 as (select t1.years, t1.sale_amount, t1.init_sale_amount, t1.rn, cast(sum(case when t2.rn <= t1.rn then t2.sale_amount * power(0.7, t1.rn - t2.rn) else 0 end) * 0.3 +power(0.7, t1.rn) * t1.init_sale_amount as decimal(18, 4)) s1_p3from init t1,init t2group by t1.years, t1.sale_amount, t1.init_sale_amount, t1.rn)--计算二次平滑值, s2 as (select t1.years, t1.sale_amount, t1.init_sale_amount, t1.rn, t1.s1_p3, cast(sum(case when t2.rn <= t1.rn then t2.s1_p3 * power(0.7, t1.rn - t2.rn) else 0 end) * 0.3 +power(0.7, t1.rn) * t1.init_sale_amount as decimal(18, 4)) s2_p3from s1 t1,s1 t2group by t1.years, t1.sale_amount, t1.init_sale_amount, t1.rn, t1.s1_p3)select * from s2 order by years;

步骤4:计算三次平滑值
with init as (select years, sale_amount, last_value(init_sale_amount ignore nulls) over (order by YEARS) init_sale_amount, rnfrom (select years, sale_amount, casewhen rn = 1 then cast(avg(sale_amount)over (order by years rows between current row and 2 following ) as decimal(18, 1)) end init_sale_amount, rnfrom (select years, sale_amount, row_number() over (order by years) rnfrom sale_amount) t) t)--计算一次平滑值, s1 as (select t1.years, t1.sale_amount, t1.init_sale_amount, t1.rn, cast(sum(case when t2.rn <= t1.rn then t2.sale_amount * power(0.7, t1.rn - t2.rn) else 0 end) * 0.3 +power(0.7, t1.rn) * t1.init_sale_amount as decimal(18, 4)) s1_p3from init t1,init t2group by t1.years, t1.sale_amount, t1.init_sale_amount, t1.rn)--计算二次平滑值, s2 as (select t1.years, t1.sale_amount, t1.init_sale_amount, t1.rn, t1.s1_p3, cast(sum(case when t2.rn <= t1.rn then t2.s1_p3 * power(0.7, t1.rn - t2.rn) else 0 end) * 0.3 +power(0.7, t1.rn) * t1.init_sale_amount as decimal(18, 4)) s2_p3from s1 t1,s1 t2group by t1.years, t1.sale_amount, t1.init_sale_amount, t1.rn, t1.s1_p3)--计算三次平滑值,s3 as (select t1.years, t1.sale_amount, t1.init_sale_amount, t1.rn, t1.s2_p3, cast(sum(case when t2.rn <= t1.rn then t2.s2_p3 * power(0.7, t1.rn - t2.rn) else 0 end) * 0.3 +power(0.7, t1.rn) * t1.init_sale_amount as decimal(18, 4)) s3_p3from s2 t1,s2 t2group by t1.years, t1.sale_amount, t1.init_sale_amount, t1.rn, t1.s2_p3)select * from s3 order by years;

步骤5:计算二次函数模型系数
with init as (select years, sale_amount, last_value(init_sale_amount ignore nulls) over (order by YEARS) init_sale_amount, rnfrom (select years, sale_amount, casewhen rn = 1 then cast(avg(sale_amount)over (order by years rows between current row and 2 following ) as decimal(18, 1)) end init_sale_amount, rnfrom (select years, sale_amount, row_number() over (order by years) rnfrom sale_amount) t) t)--计算一次平滑值, s1 as (select t1.years, t1.sale_amount, t1.init_sale_amount, t1.rn, cast(sum(case when t2.rn <= t1.rn then t2.sale_amount * power(0.7, t1.rn - t2.rn) else 0 end) * 0.3 +power(0.7, t1.rn) * t1.init_sale_amount as decimal(18, 4)) s1_p3from init t1,init t2group by t1.years, t1.sale_amount, t1.init_sale_amount, t1.rn)--计算二次平滑值, s2 as (select t1.years, t1.sale_amount, t1.init_sale_amount, t1.rn, t1.s1_p3, cast(sum(case when t2.rn <= t1.rn then t2.s1_p3 * power(0.7, t1.rn - t2.rn) else 0 end) * 0.3 +power(0.7, t1.rn) * t1.init_sale_amount as decimal(18, 4)) s2_p3from s1 t1,s1 t2group by t1.years, t1.sale_amount, t1.init_sale_amount, t1.rn, t1.s1_p3)--计算三次平滑值,s3 as (select t1.years, t1.sale_amount, t1.init_sale_amount, t1.rn, t1.s1_p3, t1.s2_p3, cast(sum(case when t2.rn <= t1.rn then t2.s2_p3 * power(0.7, t1.rn - t2.rn) else 0 end) * 0.3 +power(0.7, t1.rn) * t1.init_sale_amount as decimal(18, 4)) s3_p3from s2 t1,s2 t2group by t1.years, t1.sale_amount, t1.init_sale_amount, t1.rn, t1.s1_p3, t1.s2_p3)--计算二次趋势模型系数select years, sale_amount, init_sale_amount, rn, s1_p3, s2_p3, s3_p3, cast(case when rk=1 then 3*s1_p3 - 3*s2_p3 + s3_p3 else 0 end as decimal(18,4)) a_p3, cast(case when rk=1 then ((6-5*0.3)*s1_p3 - 2*(5-4*0.3)*s2_p3 + (4-3*0.3)*s3_p3 ) * 0.3/(2*power(0.7,2)) else 0 end as decimal(18,2)) b_p3, cast(case when rk=1 then (s1_p3 - 2*s2_p3 + s3_p3 ) * power(0.3,2)/(2*power(0.7,2)) else 0 end as decimal(18,4)) c_p3from (select years, sale_amount, init_sale_amount, rn, s1_p3, s2_p3, s3_p3, row_number() over (order by rn desc) rkfrom s3) torder by years

步骤6:构建二次预测模型,并预测结果值
由步骤4得知:
04 小 结
本文针对商品零售额采用三次指数平滑法构建预测模型,文中选取加权系数
求解模型,并利用SQL语言进行实现,若实际中有相关需求,可针对加权系数再进行优化,利用RMSE均方根误差来使模型达到最优。
往期精彩
基于SQL语言实现的一种二次指数平滑法构建的线性预测模型 | 纺织生产布料年产量预测
SQL进阶技巧:如何使用Order by 中 NULLS LAST特性进行自然排序?
会飞的一十六
扫描右侧二维码关注我们
点个【在看】 你最好看

文章转载自会飞的一十六,如果涉嫌侵权,请发送邮件至:contact@modb.pro进行举报,并提供相关证据,一经查实,墨天轮将立刻删除相关内容。








