PolarDB MySQL版在社区版MySQL Federated引擎的基础上进行了性能优化和增强。
社区版MySQL支持的Federated引擎可以将位于远程数据库实例的表像本地表一样访问,大大方便了用户管理多个数据库实例的数据做聚合查询和分析。但在性能方面还存在以下可以优化的空间:
只有在使用索引RANGE/REF方式扫描时,才可以将索引上的条件作为SQL的一部分发送到远程数据库实例,而其他条件都保留在本地数据库执行;
即使SQL只访问了Federated表的一列数据,仍然会拉取远程表的全部列数据到本地执行;
带有
ORDER BY <cols> LIMIT OFFSET语法的SQL,也会拉取全部数据到本地执行。
针对以上三个问题,PolarDB MySQL版实现了条件下推、按需返回列和[ORDER BY <cols>] LIMIT OFFSET下推功能。条件下推和按需返回列功能可以将不需要的数据和多余列在远程数据库上就被过滤掉,减少了网络资源的带宽占用,对于过滤性强的条件和宽表有明显的性能效果;同时,也给远程数据库提供了更大的计划选择空间,使查询性能得到显著的提升。[ORDER BY <cols>] LIMIT OFFSET下推功能在分页查询场景中仅查询需要的数据,加速效果非常明显。
前提条件
集群版本需为PolarDB MySQL版8.0版本且修订版本需满足如下条件:
8.0.1.1.34或以上。
8.0.2.2.13或以上。
如何查看集群版本,请参见查询版本号。
使用限制
查询中只能包含一张Federated表;
只支持SELECT语句;
本地表和远端表定义完全相同,并且本地表和远端表字符集和排序完全相同;
不支持表达式、子查询、排序、聚集等复杂算子的下推。
条件下推
简介
对于涉及Federated引擎的查询,社区版MySQL只有在可以利用索引RANGE/REF扫描时,才能将索引上的条件下推,其它的条件保留在本地数据库执行。而在实际场景中,一条查询的WHERE条件涉及的字段可能比较多,或者在索引字段上使用了函数导致无法直接使用索引。这时Federated引擎会向远程数据库发送全表扫描查询,将所有数据都拉回本地数据库后再执行查询。PolarDB MySQL版的条件下推功能尽可能地将查询中兼容的条件下推,可以使数据在远程数据库中就被过滤掉,从而提升了执行性能,降低了网络传输占用带宽以及本地拷贝和数据格式转换代价。
使用方法
您可以通过loose_optimizer_switch参数开启条件下推功能。具体操作请参见设置集群参数和节点参数。
参数名称 | 级别 | 描述 |
loose_optimizer_switch | Global/Session | 查询优化的总控制开关。其中,条件下推功能的开关如下:
|
示例
以下示例中包含1千万条数据的Sysbench表来模拟在不同选择率条件下,条件下推带来的性能提升。测试中使用的本地和远程Server集群规格为polar.mysql.x8.large(独享规格,4核32 GB),存储类型为PLS5。
创建远程表和Federated表
#创建远程表#
CREATE TABLE `sbtest1` (
`id` int NOT NULL,
`k` int NOT NULL DEFAULT '0',
`c` char(120) NOT NULL DEFAULT '',
`pad` char(60) NOT NULL DEFAULT '',
PRIMARY KEY (`id`),
KEY `idx_1` (`k`)
) ENGINE=InnoDB DEFAULT CHARSET=utf8;
#创建Server#
CREATE SERVER s
FOREIGN DATA WRAPPER mysql
OPTIONS (USER 'username', PASSWORD 'password', HOST 'hostname', PORT 3306, DATABASE 'dbname');
#创建Federated表#
CREATE TABLE `sbtest1` (
`id` int NOT NULL,
`k` int NOT NULL DEFAULT '0',
`c` char(120) NOT NULL DEFAULT '',
`pad` char(60) NOT NULL DEFAULT '',
PRIMARY KEY (`id`),
KEY `idx_1` (`k`)
) ENGINE=FEDERATED DEFAULT CHARSET=utf8 CONNECTION='s';开启和关闭条件下推功能的SQL查询
#关闭条件下推的SQL查询#
set optimizer_switch='engine_condition_pushdown=off';
Query OK, 0 rows affected (0.03 sec)
EXPLAIN SELECT COUNT(*) FROM sbtest1 WHERE id + 1 < 100;
+----+-------------+---------+------------+------+---------------+------+---------+------+---------+----------+-------------+
| id | select_type | table | partitions | type | possible_keys | key | key_len | ref | rows | filtered | Extra |
+----+-------------+---------+------------+------+---------------+------+---------+------+---------+----------+-------------+
| 1 | SIMPLE | sbtest1 | NULL | ALL | NULL | NULL | NULL | NULL | 9850101 | 100.00 | Using where |
+----+-------------+---------+------------+------+---------------+------+---------+------+---------+----------+-------------+
1 row in set, 1 warning (0.04 sec)
#开启条件下推的SQL查询#
set optimizer_switch='engine_condition_pushdown=on';
Query OK, 0 rows affected (0.10 sec)
EXPLAIN SELECT COUNT(*) FROM sbtest1 WHERE id + 1 < 100;
+----+-------------+---------+------------+------+---------------+------+---------+------+---------+----------+-------------------------------------------------------------------------------------+
| id | select_type | table | partitions | type | possible_keys | key | key_len | ref | rows | filtered | Extra |
+----+-------------+---------+------------+------+---------------+------+---------+------+---------+----------+-------------------------------------------------------------------------------------+
| 1 | SIMPLE | sbtest1 | NULL | ALL | NULL | NULL | NULL | NULL | 9850101 | 100.00 | Using where with pushed condition ((`federated`.`sbtest1`.`id` + 1) < 100) |
+----+-------------+---------+------------+------+---------------+------+---------+------+---------+----------+-------------------------------------------------------------------------------------+
1 row in set, 1 warning (0.05 sec)上述SQL查询中,由于WHERE条件中使用了包含主键的函数与常量进行比较,最优的执行计划是使用全表扫描的方式,主要的差别在于是否将WHERE条件下推到远程Server执行。通过改变常量值为selectivity * table_size,构造不同的选择率条件,测试性能如下:

通过上图可以看到,当条件选择率selectivity较低时(小于0.1),开启条件下推相对于关闭条件下推有约一倍的性能提升。
在SQL查询过程中,交替开启和关闭条件下推功能。通过PolarDB控制台的性能监控功能,可以看到SQL查询期间对于网络带宽的占用情况:
当条件不下推时,SQL查询对于网络带宽的占用很高,且在不同选择率条件下网络带宽的占用率都是相同的;
当条件下推且选择率较低时(小于0.1),网络的流量非常小且随着选择率的增大而逐渐增高。与条件不下推情况下的网络IO相比有明显区别。

按需返回列
简介
Federated查询在获取远程表的数据时,返回的是所有列的值。但在实际情况中,一条查询可能只需要部分列的值,其他列的值并没有发挥作用,反而给远程Server增加了选取、格式转换数据的代价,占用了更多的网络传输带宽。因此PolarDB MySQL版在社区版MySQL的基础上做了进一步的优化,使得Federated查询只会向远程Server选取需要的列,大幅减少了远程Server选取数据的代价和网络传输带宽,提升了查询性能,表的列数越多,提升效果越明显。
示例
以下示例使用包含1百万条数据、不同列数的表来模拟真实场景。包含100列的表定义如下,重复定义Sysbench表中k、c、pad三列来拓宽表;通过减少字符类型的长度来支持定义更多列,而不至于占用更多的空间。
定义表
CREATE TABLE `sbtest1` (
`id` int(11) NOT NULL AUTO_INCREMENT,
`k` int(11) NOT NULL DEFAULT '0',
`c` char(15) NOT NULL DEFAULT '',
`pad` char(8) NOT NULL DEFAULT '',
`k1` int(11) NOT NULL DEFAULT '0',
`c1` char(15) NOT NULL DEFAULT '',
`pad1` char(8) NOT NULL DEFAULT '',
...
`k32` int(11) NOT NULL DEFAULT '0',
`c32` char(15) NOT NULL DEFAULT '',
`pad32` char(8) NOT NULL DEFAULT '',
PRIMARY KEY (`id`),
KEY `k_1` (`k`)
) ENGINE=InnoDB AUTO_INCREMENT=1000001 DEFAULT CHARSET=utf8;开启和关闭按需返回列功能的SQL查询
分别在开启和关闭按需返回列功能的场景下,使用SELECT pad FROM sbtest1进行测试。由于远程表在pad字段上没有索引,所以执行计划使用的是主键全表扫描,执行时间(秒)如下:
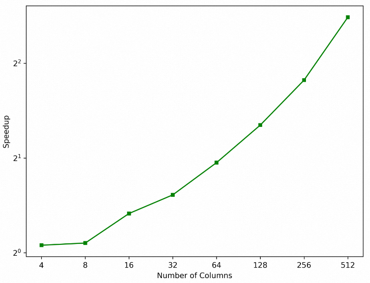
表列数 | 4 | 8 | 16 | 32 | 64 | 128 | 256 | 512 |
开启按需返回列 | 2.97 | 3.1 | 3.09 | 3.96 | 4.55 | 4.95 | 5.74 | 6.91 |
关闭按需返回列 | 3.14 | 3.33 | 4.12 | 6.05 | 8.8 | 12.6 | 20.3 | 38.7 |

从上述加速比曲线可以看出,随着表列数的增加,按需返回列功能带来的加速比接近于线性提升。
此外,按需返回列功能也会增加远程Server的计划选择空间。如果查询所访问的列可以使用索引,那么执行计划会在远程表上使用索引扫描,而不是全表扫描,这将会进一步带来性能的提升:
#关闭按需返回列功能进行查询#
SET federated_fetch_select_field_enabled=OFF;
Query OK, 0 rows affected (0.19 sec)
SELECT SUM(k) FROM federated_col_64.sbtest1;
+--------------+
| SUM(k) |
+--------------+
| 499868973740 |
+--------------+
1 row in set (5.20 sec)
#开启按需返回列功能进行查询#
SET federated_fetch_select_field_enabled=ON;
Query OK, 0 rows affected (0.11 sec)
SELECT SUM(k) FROM federated_col_64.sbtest1;
+--------------+
| SUM(k) |
+--------------+
| 499868973740 |
+--------------+
1 row in set (0.45 sec)从上述示例可以看出,在k列上使用索引后,开启按需返回列功能后查询性能提升了10倍以上。
[ORDER BY <cols>] LIMIT OFFSET下推
简介
社区版MySQL在Federated查询上的分页查询由于无法将条件全部下推,所以必须将远程Server的全部数据返回本地Server,使用WHERE条件过滤后再进行分页。当PolarDB MySQL版支持条件下推后,如果SQL语句只涉及单个Federated表,且不包含聚合、窗口、UNION、DISTINCT、HAVING等影响结果正确性的语法时,就可以将[ORDER BY <cols>] LIMIT OFFSET语法下推到远程Server进行处理,仅给本地Server返回需要的数据,本地Server就可以直接输出结果到客户端。
使用方法
您可以通过loose_optimizer_switch参数开启[ORDER BY <cols>] LIMIT OFFSET下推优化功能。具体操作请参见设置集群参数和节点参数。
参数名称 | 级别 | 描述 |
loose_optimizer_switch | Global/Session | 查询优化的总控制开关。其中,
|
示例
创建表
CREATE TABLE `sbtest1` (
`id` int(11) NOT NULL AUTO_INCREMENT,
`k` int(11) NOT NULL DEFAULT '0',
`c` char(15) NOT NULL DEFAULT '',
`pad` char(8) NOT NULL DEFAULT '',
`k1` int(11) NOT NULL DEFAULT '0',
`c1` char(15) NOT NULL DEFAULT '',
`pad1` char(8) NOT NULL DEFAULT '',
...
`k32` int(11) NOT NULL DEFAULT '0',
`c32` char(15) NOT NULL DEFAULT '',
`pad32` char(8) NOT NULL DEFAULT '',
PRIMARY KEY (`id`),
KEY `k_1` (`k`)
) ENGINE=InnoDB AUTO_INCREMENT=1000001 DEFAULT CHARSET=utf8;开启和关闭[ORDER BY <cols>] LIMIT OFFSET下推优化功能的SQL查询
#开启[ORDER BY <cols>] LIMIT OFFSET下推优化功能进行查询#
set optimizer_switch='limit_offset_pushdown=on';
Query OK, 0 rows affected (0.05 sec)
EXPLAIN SELECT * FROM federated.sbtest1 LIMIT 100 OFFSET 1000;
+----+-------------+---------+------------+------+---------------+------+---------+------+---------+----------+-----------------------------+
| id | select_type | table | partitions | type | possible_keys | key | key_len | ref | rows | filtered | Extra |
+----+-------------+---------+------------+------+---------------+------+---------+------+---------+----------+-----------------------------+
| 1 | SIMPLE | sbtest1 | NULL | ALL | NULL | NULL | NULL | NULL | 9850101 | 100.00 | Using limit-offset pushdown |
+----+-------------+---------+------------+------+---------------+------+---------+------+---------+----------+-----------------------------+
1 row in set, 1 warning (0.06 sec)
#关闭[ORDER BY <cols>] LIMIT OFFSET下推优化功能进行查询#
set optimizer_switch='limit_offset_pushdown=off';
Query OK, 0 rows affected (0.05 sec)
EXPLAIN SELECT * FROM federated.sbtest1 LIMIT 100 OFFSET 1000;
+----+-------------+---------+------------+------+---------------+------+---------+------+---------+----------+-------+
| id | select_type | table | partitions | type | possible_keys | key | key_len | ref | rows | filtered | Extra |
+----+-------------+---------+------------+------+---------------+------+---------+------+---------+----------+-------+
| 1 | SIMPLE | sbtest1 | NULL | ALL | NULL | NULL | NULL | NULL | 9850101 | 100.00 | NULL |
+----+-------------+---------+------------+------+---------------+------+---------+------+---------+----------+-------+
1 row in set, 1 warning (0.05 sec)#关闭按需ORDER下推#
SET federated_pushdown_order_enabled=OFF;
Query OK, 0 rows affected (0.19 sec)
#开启按需ORDER下推#
SET federated_pushdown_order_enabled=ON;
Query OK, 0 rows affected (0.11 sec)
mysql> explain select * from federated.sbtest1 order by id limit 100 offset 1000;
+----+-------------+-------+------------+------+---------------+------+---------+------+------+----------+--------------------------------------------------------+
| id | select_type | table | partitions | type | possible_keys | key | key_len | ref | rows | filtered | Extra |
+----+-------------+-------+------------+------+---------------+------+---------+------+------+----------+--------------------------------------------------------+
| 1 | SIMPLE | sbtest1 | NULL | ALL | NULL | NULL | NULL | NULL | 9850101 | 100.00 | Using limit-offset pushdown; Using order pushdown `id` |
+----+-------------+-------+------------+------+---------------+------+---------+------+------+----------+--------------------------------------------------------+分别在开启和关闭[ORDER BY <cols>] LIMIT OFFSET下推优化功能的场景下,在1千万条数据的Sysbench表上使用SELECT * FROM federated.sbtest1 LIMIT 100 OFFSET number进行测试。不同OFFSET值的测试结果如下:
OFFSET 值 | 0 | 10 | 100 | 1000 | 10000 | 100000 | 1000000 | 10000000 |
OFFSET 值 | 0 | 10 | 100 | 1000 | 10000 | 100000 | 1000000 | 10000000 |
开启Limit Offset下推 | 110ms | 168ms | 238ms | 280ms | 219ms | 184ms | 320ms | 1.16s |
关闭Limit Offset下推 | 6.7s | 6.6s | 6.68s | 6.66s | 6.69s | 6.77s | 6.94s | 9.87s |
从上表可以看出,OFFSET值越小,加速越明显,最高约60倍以上的加速比。




