2月3日,DeepSeek 刚刚上线了DeepSeek-Janus-Pro-7B模型,天云数据率先完成基于沐曦GPU服务器的DeepSeek模型适配,首发完成国产模型 + 国产GPU + 国产训练平台全兼容服务,实现AI全流程国产化流水线时代。
天云数据打造全国产AI 端到端生态链
天云数据训练平台+DeepSeek多模态模型+国产沐曦GPU适配结果如下,由此可见,天云数据训练平台完全实现了国产化。国产AI技术可以加速全球竞争,并将加速AI工具的应用。

效果对比综述
-
所有参数均使用默认取值。
-
测试数据来源
-
文生图,
1,2:中美对比,
3,4:和大厂效果对比
5:为自定义(生成一张北京通州大运河的图片,重现昔日帆樯林立、舳舻蔽日的运河盛景,有扬帆起锚满载货物的轮船。)
- 多模态理解
1,2:中美对比,
3,4,5:取自不同的任务场景。
文生图 VS Flux
-
Janus Pro 7B访问地址:http://xx xx xx xx:42101/janus/
-
Flux访问地址:https://www.blinkshot.io/





多模态理解 VS Qwen2.5 VL 7B
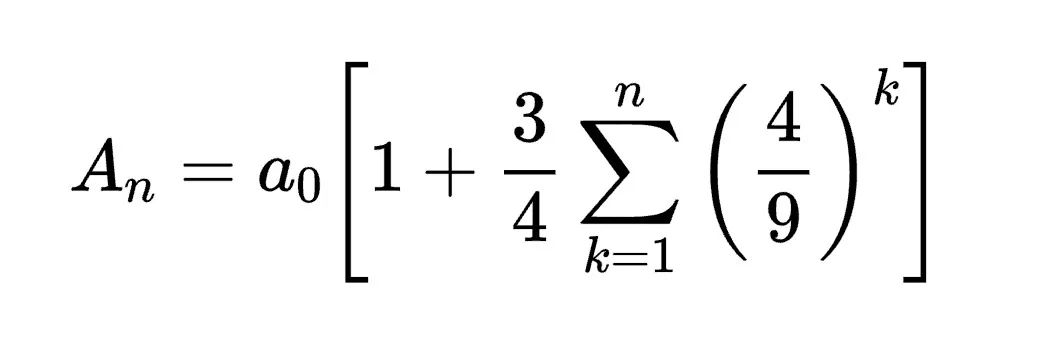
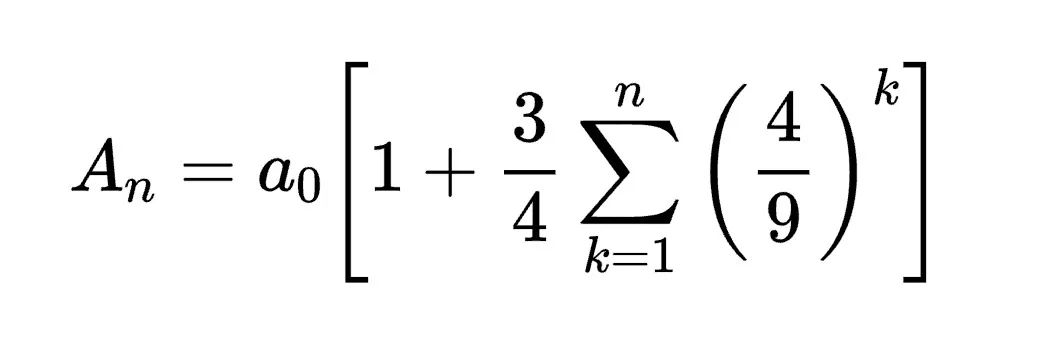
输入1:Convert the formula into latex code.

Janus
Here is the formula converted into LaTeX code:
\[ A_n = a_0 \left[ 1 + \frac{3}{4} \sum_{k=1}^{n} \left( \frac{4}{9} \right)^k \right] \]
Qwen2.5 VL 7B
The given formula can be converted into LaTeX code as follows:
A_n = a_0 \left[ 1 + \frac{3}{4} \sum_{k=1}^{n} \left( \frac{4}{9} \right)^k \right]
This LaTeX code will render the mathematical expression in a clear and professional format.
输入2:图上的文字是什么

Janus
图上的文字是:
左边的文字是:“Decoupling Visual Encoding”
右边的文字是:“Single Visual Encoder”Qwen2.5 VL 7B
图上的文字是:
左边:Decoupling Visual Encoding
右边:Single Visual Encoder
输入3:Who are these in this picture? Please give their names in Chinese and English.

Janus
The image features four individuals. Here are their names in both Chinese and English:
1. 左上角: 迈克尔·杰克逊 (Michael Jackson)
2. 右上角: 科比·布莱恩特 (Kobe Bryant)
3. 左下角: 周星驰 (Jackie Chan)
4. 右下角: 唐纳德·特朗普 (Donald Trump)Qwen2.5 VL 7B
The individuals in the picture are:
迈克尔·杰克逊 (Michael Jackson)
迈克尔·乔丹 (Michael Jordan)
成龙 (Jackie Chan)
唐纳德·特朗普 (Donald Trump)输入4:Detect all motorcyclists in the image and return their locations in the form of coordinates. The format of output should be like {“bbox_2d”: [x1, y1, x2, y2], “label”: “motorcyclist”, “sub_label”: “wearing helmat” # or “not wearing helmat”}.

Janus
To detect all motorcyclists in the image and return their locations in the specified format, I will analyze the image and identify the motorcyclists based on their bounding boxes.
1. **Locate motorcyclists**: Identify motorcyclists in the image.
2. **Extract bounding box coordinates**: Extract the coordinates of the bounding boxes.
3. **Label and sub-label**: Label the motorcyclists as "wearing helmet" or "not wearing helmet".
Here's the output based on the analysis:
```json
[
{
"bbox_2d": [100, 100, 200, 200],
"label": "motorcyclist",
"sub_label": "wearing helmat"
},
{
"bbox_2d": [300, 100, 400, 200],
"label": "motorcyclist",
"sub_label": "wearing helmat"
},
{
"bbox_2d": [100, 300, 200, 400],
"label": "motorcyclist",
"sub_label": "not wearing helmat"
},
{
"bbox_2d": [300, 300, 400, 400],
"label": "motorcyclist",
"sub_label": "not wearing helmat"
}
]
```
This output includes the bounding box coordinates, the label of the motorcyclist, and whether they are wearing a helmet or not.Qwen2.5 VL 7B
[
{"bbox_2d": [345, 257, 406, 381], "label": "motorcyclist", "sub_label": "not wearing helmat"},
{"bbox_2d": [219, 331, 269, 447], "label": "motorcyclist", "sub_label": "not wearing helmat"},
{"bbox_2d": [20, 235, 63, 350], "label": "motorcyclist", "sub_label": "wearing helmat"},
{"bbox_2d": [69, 158, 114, 208], "label": "motorcyclist", "sub_label": "not wearing helmat"}
]输入5:Extract following information from the receipt:[‘发票代码’,‘发票号码’,‘到站’,‘燃油费’,‘票价’,‘乘车日期’,‘开车时间’,‘车次’,‘座号’],output in JSON。

Janus
{
"发票代码": "221021325353",
"发票号码": "10283819",
"到站": "北京西",
"燃油费": "2.0",
"票价": "8.00元",
"乘车日期": "2013-08-29",
"开车时间": "04:0",
"车次": "371",
"座号": "无"
}Qwen2.5 VL 7B
{
"发票代码": "221021325353",
"发票号码": "10283819",
"到站": "开发区",
"燃油费": "2.0",
"票价": "8.00<全>",
"乘车日期": "2013-06-29",
"开车时间": "流水",
"车次": "040",
"座号": "371"
}总结
仅从上述测试数据来讲,将多模态理解和生成任务统一在一个模型中,对视觉任务大一统做出一定的贡献。
Deepseek R1标志着后训练时代启动
基于多头注意力MoE专家模型,DeepSeek刷榜了大模型性能指标。对标OpenAI o1,更擅长复杂推理的DeepSeek R1是依靠思维链的拆解完成更复杂任务推理,同时R1 zero使用强化学习框架和微调训练框架,把单纯依托基础大模型的技术路线,升级到LXMops的平台任务逻辑。
OpenAI前首席科学家Ilya指出,当前 AI 模型预训练方式将不可避免地走向终结,预训练时代将终结,未来AI或将不可预测。

Deepseek R1标志着预训练大模型时代结束。无论是OpenAI o1还是Deepseek R1 ,都在践行后训练的技术发展路线,后训练时代启动已启动。
天云数据训练平台助力AI服务
成熟度达到L5级水平
模型后训练的时代已经到来,谷歌的参考架构清晰勾勒出后训练的能力等级,如何让更多机构轻松进入后训练市场,拥有DS同等的强化学习人类对齐能力,天云数据训练平台助力AI服务成熟度达到L5级水平。
目前人工智能市场有两条核心路径,一种是无条件相信scalinglaw路径,相信只要把数据喂进去就会有涌现机制。就像π3.14一样,花更大的投入获取百位数之后的两位数。我们是否要跟着北美的指挥棒继续训练大模型,用算力和数据堆积给已有的算法实践Transformer,这种路径就是在已知的知识结构里去寻找未知拼接的方法,能力是有限的,就像在陆地上看着教科书学游泳一样,一定会遇到模型基础理论的天花板。
谷歌、微软、亚马逊、HuggingFace等云厂商开始不再依赖单一大模型,而是跟更多的系统架构配合,来组成一个务实的AGI的工程架构。谷歌发布的大模型成熟度参考架构,定义了从L0到L6 的分级,调用GPT直接使用单一大模型的能力仅仅是L0水平。天云数据加入提示词工程,精调模型Lora的意图理解,向量数据库寻回私域数据的记忆,Agent规划拆解,plugin执行和反思等等,逐步完善大模型成熟度到更高等级,实现人工智能市场的第二条路径。

天云数据提供从“数据工程”到“云原生机器学习平台”到“云原生大模型平台”再到“模型推理服务发布平台”的端到端AI生产流水线服务,支撑多个国产模型的异构部署,助力AI服务成熟度达到国际L5级水平。随着大模型后训练市场兴起,开始服务千行百业。





