排行
数据库百科
核心案例
行业报告
月度解读
大事记
产业图谱
中国数据库
向量数据库
时序数据库
实时数据库
搜索引擎
空间数据库
图数据库
数据仓库
大调查
2021年报告
2022年报告
年度数据库
2020年openGauss
2021年TiDB
2022年PolarDB
2023年OceanBase
首页
资讯
活动
大会
学习
课程中心
推荐优质内容、热门课程
学习路径
预设学习计划、达成学习目标
知识图谱
综合了解技术体系知识点
课程库
快速筛选、搜索相关课程
视频学习
专业视频分享技术知识
电子文档
快速搜索阅览技术文档
文档
问答
服务
智能助手小墨
关于数据库相关的问题,您都可以问我
数据库巡检平台
脚本采集百余项,在线智能分析总结
SQLRUN
在线数据库即时SQL运行平台
数据库实训平台
实操环境、开箱即用、一键连接
数据库管理服务
汇聚顶级数据库专家,具备多数据库运维能力
数据库百科
核心案例
行业报告
月度解读
大事记
产业图谱
我的订单
登录后可立即获得以下权益
免费培训课程
收藏优质文章
疑难问题解答
下载专业文档
签到免费抽奖
提升成长等级
立即登录
登录
注册
登录
注册
首页
资讯
活动
大会
课程
文档
排行
问答
我的订单
首页
专家团队
智能助手
在线工具
SQLRUN
在线数据库即时SQL运行平台
数据库在线实训平台
实操环境、开箱即用、一键连接
AWR分析
上传AWR报告,查看分析结果
SQL格式化
快速格式化绝大多数SQL语句
SQL审核
审核编写规范,提升执行效率
PLSQL解密
解密超4000字符的PL/SQL语句
OraC函数
查询Oracle C 函数的详细描述
智能助手小墨
关于数据库相关的问题,您都可以问我
精选案例
新闻资讯
云市场
登录后可立即获得以下权益
免费培训课程
收藏优质文章
疑难问题解答
下载专业文档
签到免费抽奖
提升成长等级
立即登录
登录
注册
登录
注册
首页
专家团队
智能助手
精选案例
新闻资讯
云市场
微信扫码
复制链接
新浪微博
分享数说
采集到收藏夹
分享到数说
举报
首页
/
A/B测试,以电商为例
A/B测试,以电商为例
码奋
2024-07-10
175
A/B测试是用来评估两个或多个版本的效果的实验设计工具,广泛应用于产品开发、营销优化和用户体验提升。
深入分析A/B测试需要理解其统计基础、实验设计原则、数据处理和结果解释。
1. 确定目标和假设
目标设定:
业务目标:
明确业务需要优化的指标(KPI),如转化率、点击率、平均订单价值等。
假设:
基于业务目标,形成具体、可检验的假设。例如,“改变按钮颜色将提升点击率”。
统计假设:
原假设(Null Hypothesis, H0):
控制组和实验组之间没有显著差异。
备择假设(Alternative Hypothesis, H1):
控制组和实验组之间存在显著差异。
2. 实验设计
随机化:
随机分配:
使用随机算法将用户分配到不同的实验组,以保证组间特征相似,减少潜在偏差。
分层随机化:
在重要的协变量上进行分层,再在每层内随机分配用户,以确保不同组在关键特征上均衡。
样本量计算:
功效分析(Power Analysis):
确定所需的样本量,以保证一定的检测效力(通常80%-90%)。
公式:
3. 数据收集和处理
数据收集:
实时监控:
设置数据监控系统,实时收集用户行为数据,确保数据的完整性和准确性。
事件跟踪:
定义和跟踪关键事件,如点击、购买、表单提交等。
数据清洗:
异常值处理:
识别并处理异常数据,如极端值、重复数据等。
缺失数据:
采用插补法、删除法或其他合适的方法处理缺失数据。
4. 数据分析和统计测试
描述性统计:
汇总统计量:
计算均值、中位数、标准差等描述性统计量,初步了解数据分布和差异。
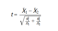
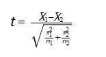
显著性检验:
t检验:
用于比较两个独立样本的均值差异是否显著。
卡方检验:
用于比较分类变量的分布差异。
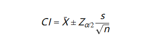
置信区间:
提供估计值的范围,反映结果的不确定性。
5. 结果解释和决策
统计显著性 vs. 实际显著性:
p值:
通常设定显著性水平(α)为0.05,p值小于0.05表示结果具有统计显著性。
效应大小(Effect Size):
评估变化的实际影响,如Cohen's d,提供变化的实际意义。
多重比较校正:
Bonferroni校正:
调整显著性水平,减少多重比较带来的假阳性风险。
业务影响评估:
ROI分析:
结合业务背景,评估变体带来的投资回报。
长期效应分析:
考虑短期和长期影响,避免短视行为。
6. 常见挑战和优化策略
数据偏差:
用户特征变化:
通过滚动分层随机化等方法,确保用户特征均衡。
时间效应:
考虑季节性、节假日等因素,选择合适的测试时间窗口。
技术实现:
A/B测试平台:
使用专业的A/B测试平台,确保实验执行的准确性和数据的可靠性。
持续迭代:
实验复现:
在不同时间、不同用户群体中复现实验,以验证结果的稳健性。
优化过程:
基于测试结果,持续优化产品和策略,形成数据驱动的优化循环。
案例
假设一家电商公司希望通过优化产品页面,提高产品的购买转化率。以下是具体的A/B测试步骤及其深度分析:
1. 确定目标和假设
业务目标:
提高产品页面的购买转化率(Conversion Rate)。
假设:
改变产品页面上的购买按钮颜色从蓝色到绿色,将提高购买转化率。
统计假设:
原假设(H0):
按钮颜色的改变对购买转化率没有显著影响。
备择假设(H1):
按钮颜色的改变对购买转化率有显著影响。
2. 实验设计
随机化:
将访问产品页面的用户随机分为两组,一组看到蓝色按钮(控制组),另一组看到绿色按钮(实验组)。
样本量计算:
假设当前购买转化率为3%,期望通过改变按钮颜色将转化率提高到4%。
使用功效分析计算样本量,设定显著性水平为0.05,检验功效为0.8。
其中,假设标准差为0.05,预期效应大小为0.01。
3. 数据收集和处理
数据收集:
设置实验开始和结束时间,确保在此期间用户行为数据的完整性和准确性。
通过电商平台的数据分析工具,实时监控和记录用户的点击和购买行为。
数据清洗:
处理异常值,例如短时间内多次点击和购买的用户。
对缺失数据进行处理,确保样本的代表性和完整性。
4. 数据分析和统计测试
描述性统计:
计算两组的平均购买转化率和标准差。
显著性检验:
使用两样本t检验比较两组的平均转化率。
计算p值,判断是否拒绝原假设。
置信区间:
计算两组转化率差异的置信区间,评估变化的不确定性。
5. 结果解释和决策
统计显著性 vs. 实际显著性:
如果p值小于0.05,表示按钮颜色的改变对购买转化率有显著影响。
评估效应大小(Effect Size),判断变化的实际业务意义。
业务影响评估:
基于测试结果,计算优化后的预期年收入增量。
评估实施变更的成本和ROI。
6. 常见挑战和优化策略
数据偏差:
确保随机分配的用户特征均衡,避免因用户特征差异导致的偏差。
选择合适的测试时间窗口,避免季节性或促销活动等外部因素影响结果。
技术实现:
使用A/B测试平台(如Optimizely、Google Optimize),确保实验执行和数据收集的准确性。
持续迭代:
复现实验:在不同时间、不同用户群体中复现实验,验证结果的稳健性。
持续优化:基于测试结果,进一步优化产品页面其他元素,如图片、描述、价格展示等。
示例结果
实验结果:
控制组(蓝色按钮):购买转化率 = 3.0%
实验组(绿色按钮):购买转化率 = 3.5%
统计分析:
t检验结果:t = 2.5,p = 0.01(假设t临界值为2.0)
结论:
由于p < 0.05,拒绝原假设,接受备择假设,即按钮颜色的改变对购买转化率有显著影响。
实验组的转化率提高了0.5%,具有实际业务意义。
决策:
将按钮颜色由蓝色更改为绿色,预计年收入增量=总年访问量 * 提高的转化率 * 平均订单价值。
往期推荐
0
1
如何成长为首席数据官(CDO)
0
2
数据标准化:数据沼泽的形成和解决思路
0
3
数据标准化:数据服务开发
大数据
样本量
转化率
文章转载自
码奋
,如果涉嫌侵权,请发送邮件至:contact@modb.pro进行举报,并提供相关证据,一经查实,墨天轮将立刻删除相关内容。
评论
领墨值
有奖问卷
意见反馈
客服小墨