如果对postgresql数据库感兴趣,有问题有需求可加群咨询,新人自动分配到3群,如果想要进1.2群请联系:pgccc400
PostgreSQL交流群(总群)
扫码加我拉您入群

Top 10
-- PostgreSQL语法
SELECT area_name, q1_2025,repeat('🔥',(q1_2025/2000)::int)
FROM gdp_data gd
WHERE q1_2025 ISNOTNULL
ORDERBY q1_2025 DESC
LIMIT10;
排名变化
SELECT area_name, q1_2025, q4_2024,
rank()OVER(ORDERBY q1_2025 DESC)AS rank_2025,
rank()OVER(ORDERBY q4_2024 DESC)AS rank_2024,
rank()OVER(ORDERBY q4_2024 DESC)- rank()OVER(ORDERBY q1_2025 DESC)AS diff
FROM gdp_data gd
WHERE q1_2025 ISNOTNULL
ORDERBY q1_2025 DESC;
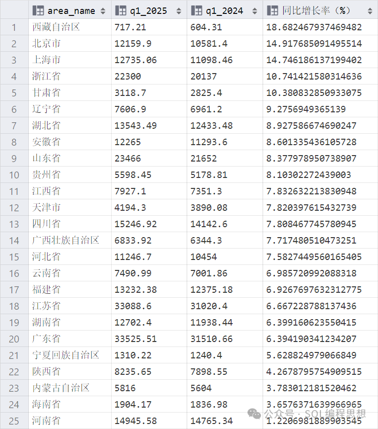
同比增长
SELECT area_name, q1_2025, q1_2024,
(q1_2025 - q1_2024)/q1_2024*100AS"同比增长率(%)"
FROM gdp_data gd
WHERE q1_2025 ISNOTNULL
ORDERBY4DESC;

文章转载自PGCCC,如果涉嫌侵权,请发送邮件至:contact@modb.pro进行举报,并提供相关证据,一经查实,墨天轮将立刻删除相关内容。








