1 问题描述
求矩阵A,B相乘的结果C
2 分析
2.1 传统解法
直接根据矩阵乘法的定义来遍历计算。
c++语言代码:
void matrixMul(int** A,int** B,int** C,int m,int b,int n){
for(int i=0;i<m;i++){
for(int j=0;j<n;j++){
*((int*)C+i*n+j)=0;
for(int k=0;k<b;k++){
*((int*)C+i*n+j)+=*((int*)A+i*b+k)*(*((int*)B+k*n+j));
}
}
}
}
void test3(){
int A[2][3]={{1,2,3},{1,2,3}};
int B[3][2]={{1,2},{1,2},{1,1}};
int C[2][2]={};
matrixMul((int**)A,(int**)B,(int**)C,2,3,2);
for(int i=0;i<2;i++){
for(int j=0;j<2;j++){
printf("%d ",C[i][j]);
}
printf("\n");
}
}
2.2 分治算法-Strassen
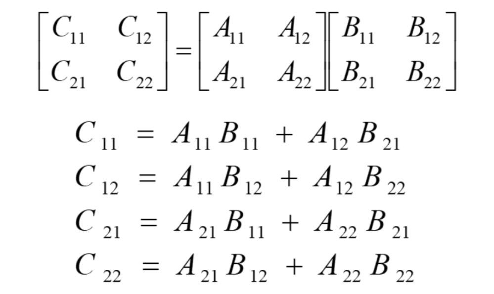
与整数乘法类似,可以将矩阵A,B和C中每一矩阵都分块成4个大小相等的子矩阵

依次将矩阵的乘法按照上图拆分为最小单元的矩阵计算,即只有一个元素,然后再返回。
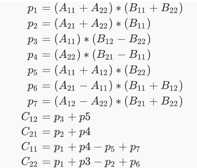
在计算的时候,如果直接分解然后计算,需要进行8次乘法运算。strassen算法可以将8次乘法降为7次乘法,从而降低时间复杂度:

最终达到降低复杂度为具体见代码
3 代码实现
#include <cmath>
#include <stdlib.h>
#include <cstdio>
#define SIZE 16
using namespace std;
/* For taking input from standard input(keyboard)*/
void ReadMatrix(double A[][SIZE],int N)
{
int i,j;
for(i=0; i<N; i++)
{
for(j=0; j<N; j++)
{
scanf("%lf", &A[i][j]);
}
}
}
/*For printing the matrix in standard output(console)*/
void WriteMatrix(double A[][SIZE], int N)
{
int i, j;
for(i=0; i<N; i++)
{
for(j=0; j<N; j++)
{
printf("%0.1lf \t", A[i][j]);
}
printf("\n");
}
}
/*This function will add two square matrix*/
void MatrixAdd(double A[][SIZE], double B[][SIZE], double Result[][SIZE], int N)
{
int i, j;
for(i=0; i< N; i++)
{
for(j=0; j<N; j++)
{
Result[i][j] = A[i][j] + B[i][j];
}
}
}
/*This function will subtract one square matrix from another*/
void MatrixSubtrac(double A[][SIZE], double B[][SIZE], double Result[][SIZE], int N)
{
int i, j;
for(i=0; i< N; i++)
{
for(j=0; j<N; j++)
{
Result[i][j] = A[i][j] - B[i][j];
}
}
}
/*This is the strassen algorithm. (Divide and Conqure)*/
void StrassenAlgorithm(double A[][SIZE], double B[][SIZE], double C[][SIZE], int N){
// trivial case: when the matrice is 1 X 1:
if(N == 1)
{
C[0][0] = A[0][0] * B[0][0];
return;
}
// other cases are treated here:
else{
int Divide = (int)(N/2);
double A11[SIZE][SIZE], A12[SIZE][SIZE], A21[SIZE][SIZE], A22[SIZE][SIZE];
double B11[SIZE][SIZE], B12[SIZE][SIZE], B21[SIZE][SIZE], B22[SIZE][SIZE];
double C11[SIZE][SIZE], C12[SIZE][SIZE], C21[SIZE][SIZE], C22[SIZE][SIZE];
double P1[SIZE][SIZE], P2[SIZE][SIZE], P3[SIZE][SIZE], P4[SIZE][SIZE], P5[SIZE][SIZE], P6[SIZE][SIZE], P7[SIZE][SIZE];
double AResult[SIZE][SIZE], BResult[SIZE][SIZE];
int i, j;
//dividing the matrices in 4 sub-matrices:
for (i = 0; i < Divide; i++)
{
for (j = 0; j < Divide; j++)
{
A11[i][j] = A[i][j];
A12[i][j] = A[i][j + Divide];
A21[i][j] = A[i + Divide][j];
A22[i][j] = A[i + Divide][j + Divide];
B11[i][j] = B[i][j];
B12[i][j] = B[i][j + Divide];
B21[i][j] = B[i + Divide][j];
B22[i][j] = B[i + Divide][j + Divide];
}
}
// Calculating p1 to p7:
/*For details -- Introduction to Algorithms 3rd Edition by CLRS*/
MatrixAdd(A11, A22, AResult, Divide); // a11 + a22
MatrixAdd(B11, B22, BResult, Divide); // b11 + b22
StrassenAlgorithm(AResult, BResult, P1, Divide); // p1 = (a11+a22) * (b11+b22)
MatrixAdd(A21, A22, AResult, Divide); // a21 + a22
StrassenAlgorithm(AResult, B11, P2, Divide); // p2 = (a21+a22) * (b11)
MatrixSubtrac(B12, B22, BResult, Divide); // b12 - b22
StrassenAlgorithm(A11, BResult, P3, Divide); // p3 = (a11) * (b12 - b22)
MatrixSubtrac(B21, B11, BResult, Divide); // b21 - b11
StrassenAlgorithm(A22, BResult, P4, Divide); // p4 = (a22) * (b21 - b11)
MatrixAdd(A11, A12, AResult, Divide); // a11 + a12
StrassenAlgorithm(AResult, B22, P5, Divide); // p5 = (a11+a12) * (b22)
MatrixSubtrac(A21, A11, AResult, Divide); // a21 - a11
MatrixAdd(B11, B12, BResult, Divide); // b11 + b12
StrassenAlgorithm(AResult, BResult, P6, Divide); // p6 = (a21-a11) * (b11+b12)
MatrixSubtrac(A12, A22, AResult, Divide); // a12 - a22
MatrixAdd(B21, B22, BResult, Divide); // b21 + b22
StrassenAlgorithm(AResult, BResult, P7, Divide); // p7 = (a12-a22) * (b21+b22)
// calculating c21, c21, c11 e c22:
MatrixAdd(P3, P5, C12, Divide); // c12 = p3 + p5
MatrixAdd(P2, P4, C21, Divide); // c21 = p2 + p4
MatrixAdd(P1, P4, AResult, Divide); // p1 + p4
MatrixAdd(AResult, P7, BResult, Divide); // p1 + p4 + p7
MatrixSubtrac(BResult, P5, C11, Divide); // c11 = p1 + p4 - p5 + p7
MatrixAdd(P1, P3, AResult, Divide); // p1 + p3
MatrixAdd(AResult, P6, BResult, Divide); // p1 + p3 + p6
MatrixSubtrac(BResult, P2, C22, Divide); // c22 = p1 + p3 - p2 + p6
// Grouping the results obtained in a single matrice:
for (i = 0; i < Divide ; i++)
{
for (j = 0 ; j < Divide ; j++)
{
C[i][j] = C11[i][j];
C[i][j + Divide] = C12[i][j];
C[i + Divide][j] = C21[i][j];
C[i + Divide][j + Divide] = C22[i][j];
}
}
}
}
/*The main function*/
void test4(){
double A[SIZE][SIZE], B[SIZE][SIZE], C[SIZE][SIZE];
int i,j;
int N,M,Count = 0;
printf("What Is The Dimention: ");
scanf("%d",&N);
M = N;
printf("Matrix A:\n");
ReadMatrix(A,M);
printf("Matrix B:\n");
ReadMatrix(B,M);
if(M > 1)
{
while(M>=2)
{
M/=2;
Count++;
}
M = N;
if(M != (pow(2.0,Count)))
{
N = pow(2.0,Count+1);
for(i=0; i<N; i++)
{
for(j=0; j<N; j++)
{
if((i>=M) || (j>=M))
{
A[i][j] = 0.0;
B[i][j] = 0.0;
}
}
}
}
}
StrassenAlgorithm(A,B,C,N); // StrassenAlgorithm called here
printf("Matrix A:\n\n");
WriteMatrix(A,M);
printf("Matrix B:\n\n");
WriteMatrix(B,M);
printf("The Product Of These Two Matrix:\n\n");
WriteMatrix(C,M);
}
这份代码只能计算方阵,而且使用宏定义来预定矩阵最大尺寸,很丑陋。只是用来揭示Strassen的计算过程。
文章转载自山人彤,如果涉嫌侵权,请发送邮件至:contact@modb.pro进行举报,并提供相关证据,一经查实,墨天轮将立刻删除相关内容。




