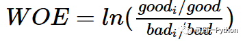
WOE全称为 Weight Of Evidence,即证据权重,就是自变量取某个值时对目标变量的影响

good_i和bad_i是该变量在各属性上对应的好客户数和坏客户数,good和bad是样本总体好客户数和坏客户数;WOE值越高,代表着该组对应的变量属性是坏客户的风险越低;
IV信息值,IV仅仅针对二元分类的目标值和名义变量,当应用于顺序变量时,顺序将会被忽略,该变量会当做名义变量来使用;

(k为变量的类别数)
从公式可以看出,IV值是基于WOE计算的,相当于WOE的加权求和。其值的大小决定了自变量对目标变量的影响程度。
通常情况下,IV<0.02时无预测能力,IV>0.3时,预测能力强。
WOE和IV值和其他筛选变量方法相比有以下两点优势:
它可以对所有分类变量,顺序变量以及连续变量(需分箱)统一进行预测能力的计量。
可以对缺失值进行处理,将其看作一类即可分析信息缺失对于风险是否有影响
示例Python实现:
将逾期天数>90的客户定义为坏客户1,其余为0;取学历和逾期天数,观测学历的信息值
df['y']= df[‘逾期天数’].apply(lambda x : 1 if x>90 else 0)
df1 = pd.concat([df[‘学历’],df['y],axis=1)
计算学历各分类对应的总数和坏客户数
total = df1.groupby(‘学历’)[‘y’].count()
total = pd.DataFrame({“total” : total})
total bad = df1.groupby(‘学历’)[‘y’].sum()
bad = pd.DataFrame({“bad” : bad})
bad


合并数据集,计算好客户数,和学历各分类对应的坏客户比例和好客户比例
regroup = total.merge(bad, how=’left’, left_index=True,right_index=True)
regroup.reset_index(inplace=True)
regroup[‘good’]= regroup[‘total’] - regroup[‘bad’]
B = regroup[‘bad’].sum()
G = regroup[‘good’].sum()
regroup[‘good_p’] = regroup[‘good’].apply(lambda x : x 1.0/G)
regroup[‘bad_p’] = regroup[‘bad’].apply(lambda x : x1.0/B)
计算WOE和IV
regroup[‘woe’] = regroup.apply(lambda x : np.log(x.good_p/x.bad_p),axis=1)
IV = regroup.apply(lambda x : (x.good_p - x.bad_p)*np.log(x.good_p/x.bad_p),axis=1)
IV =sum(IV)

IV值等于0.155,对是否是坏客户有一定的预测能力。
文章转载自每日一Python,如果涉嫌侵权,请发送邮件至:contact@modb.pro进行举报,并提供相关证据,一经查实,墨天轮将立刻删除相关内容。




