如下这张表,包含id和name两列,其中id是主键,name允许为空,存在两条记录,一条是(id=1,name='a'),另一条是(id=2,name=''),
SQL> create table emp(id number primary key, name varchar2(25));Table created.SQL> select * from emp;ID NAME---- -------1 a2
我的问题是,给定具体的id和name值作为检索条件的前提下,如何写出一条通用的SQL同时满足name为空和不为空的场景?
可能很容易想到这条SQL,
SQL> select * from emp where id=:id and name=:name;
如果针对(id=1,name='a')的记录,这条SQL是对的,
SQL> variable id numberSQL> variable name varchar2(25)SQL> exec :id := 1; :name := 'a';PL/SQL procedure successfully completed.SQL> select * from emp where id=:id and name=:name;ID NAME---- -------1 a
但是针对(id=2,name='')的记录,这条SQL是错的,原因就是在Oracle中null=null返回的是false,判断空值,需要使用is null或者is not null,
SQL> exec :id := 2; :name := '';PL/SQL procedure successfully completed.SQL> select * from emp where id=:id and name=:name;no rows selected
因此按照理解,改写SQL,此时能同时满足这两种场景,如果:name参数不为空,则会使用name=:name条件,如果:name参数为空,则会使用name is null and :name is null条件,限定检索字段name为空,同时参数:name为空,
SQL> exec :id := 1; :name := 'a';PL/SQL procedure successfully completed.SQL> select * from empwhere id=:idand (name=:name or (name is null and :name is null));ID NAME---- -------1 aSQL> exec :id := 2; :name := '';PL/SQL procedure successfully completed.SQL> select * from empwhere id=:idand (name=:name or (name is null and :name is null));ID NAME---- -------2
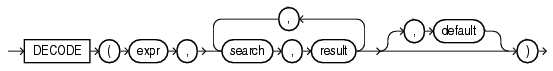
其实,Tom大叔和Darl的经典著作《Oracle编程艺术-深入理解数据库体系结构》中提到了一种更为简单的操作,使用decode函数,

如果decode函数中expr和search相等,则Oracle返回result,如果expr和search不等,则Oracle返回default,若未指定default,则返回空值。
改写SQL,我们看到,无论是(id=1,name='a')的记录,还是(id=2,name ='')的记录,都可以通过该语句得到,
SQL> exec :id := 1; :name := 'a';PL/SQL procedure successfully completed.SQL> select * from empwhere id=:id and decode(name, :name, 1)=1;ID NAME----- -------1 aSQL> exec :id := 2; :name := '';PL/SQL procedure successfully completed.SQL> select * from empwhere id=:id and decode(name, :name, 1)=1;ID NAME----- -------2
他的精髓就在于,decode函数中,Oracle会认为两个空值是等价的,官方文档的介绍如下,这就解决了(null=null)问题,
In a DECODE function, Oracle considers two nulls to be equivalent. If expr is null, then Oracle returns the result of the first search that is also null.
但是要注意的是,为这条SQL选择索引,只能对id列创建,不能对decode函数创建,因为Oracle不能基于未知的用户输入创建索引数据,
SQL> select * from empwhere id=:id and decode(name, :name, 1)=1;
近期热文:
《英超梦幻之行》




