排行
数据库百科
核心案例
行业报告
月度解读
大事记
产业图谱
中国数据库
向量数据库
时序数据库
实时数据库
搜索引擎
空间数据库
图数据库
数据仓库
大调查
2021年报告
2022年报告
年度数据库
2020年openGauss
2021年TiDB
2022年PolarDB
2023年OceanBase
首页
资讯
活动
大会
学习
课程中心
推荐优质内容、热门课程
学习路径
预设学习计划、达成学习目标
知识图谱
综合了解技术体系知识点
课程库
快速筛选、搜索相关课程
视频学习
专业视频分享技术知识
电子文档
快速搜索阅览技术文档
文档
问答
服务
智能助手小墨
关于数据库相关的问题,您都可以问我
数据库巡检平台
脚本采集百余项,在线智能分析总结
SQLRUN
在线数据库即时SQL运行平台
数据库实训平台
实操环境、开箱即用、一键连接
数据库管理服务
汇聚顶级数据库专家,具备多数据库运维能力
数据库百科
核心案例
行业报告
月度解读
大事记
产业图谱
我的订单
登录后可立即获得以下权益
免费培训课程
收藏优质文章
疑难问题解答
下载专业文档
签到免费抽奖
提升成长等级
立即登录
登录
注册
登录
注册
首页
资讯
活动
大会
课程
文档
排行
问答
我的订单
首页
专家团队
智能助手
在线工具
SQLRUN
在线数据库即时SQL运行平台
数据库在线实训平台
实操环境、开箱即用、一键连接
AWR分析
上传AWR报告,查看分析结果
SQL格式化
快速格式化绝大多数SQL语句
SQL审核
审核编写规范,提升执行效率
PLSQL解密
解密超4000字符的PL/SQL语句
OraC函数
查询Oracle C 函数的详细描述
智能助手小墨
关于数据库相关的问题,您都可以问我
精选案例
新闻资讯
云市场
登录后可立即获得以下权益
免费培训课程
收藏优质文章
疑难问题解答
下载专业文档
签到免费抽奖
提升成长等级
立即登录
登录
注册
登录
注册
首页
专家团队
智能助手
精选案例
新闻资讯
云市场
微信扫码
复制链接
新浪微博
分享数说
采集到收藏夹
分享到数说
举报
首页
/
1行代码搞定Latex公式编写,这个4.6M的Python小插件,堪称论文必备神器
1行代码搞定Latex公式编写,这个4.6M的Python小插件,堪称论文必备神器
互联网侦察
2020-08-19
766
写论文时,手敲成堆的计算公式,被虐到头秃?
做讲课PPT时,几十页的计算推理公式,恨不得直接手写拍照?
现在,解放双
手的时
刻来了,只需要掌握
一点Python语法
,上面的公式只需要4行就能生成,其中3行还是Python的计算公式。
△
没错,就是这几行
这款名为
handcalcs
的工具包,生成Latex公式,但不用学Latex复杂的语法。
关键是,大小
只有4.6MB
,相当于Jupyter里一个小小的插件。
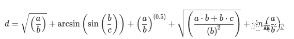
平方、平方根、分式、三角函数、脚注……这个插件的功能五脏俱全,不仅能生成公式,还能计算结果。
此外,也有单位换算、格式调整等功能。
来看看它的用法。
基础版:公式+计算
装上handcalcs插件后,Python就从一个无情的计算器,升级成了华丽的公式生成器。
在Python语法基础上,将计算公式呈现为Latex格式,只需要加
一行代码
。
没错,这行代码就是%%render。
也就是说,如果你想要生成Latex公式,只需要在计算公式前加个%%render。
不仅如此,Python还会自动帮你计算出结果。
如下图,先设好3个参数a、b、c的值,然后用Python列出表达式,在最前面放个%%render。
然后,列出x的表达式。
duang的一下,x用a、b、c表达的结果就展示了出来,而且还算出了结果。
再也不用输入大段Latex的复杂语法,生成复杂的计算公式了。
此外,如果想在函数中用这个工具插件,那就再加一行@handcalc(),但要注意return locals(),像这样:
生成的效果也是一样的。
此外,如果需要在公式中加上判断条件,系统也能生成。
至于积分什么的,生成起来也无压力。
你以为这就结束了?
还早,生成Latex公式只是这个工具的基础用法。
进阶版:格式+单位换算
此外,handcalcs还带有格式调整、特殊字符、
单位换算
等功能。
格式调整
首先,是对参数格式的调整。
如果你在某个公式中用到了好几个参数,但这些参数单独占一行会导致
浪费纸张
可读性很差,那就试试加一行##Parameters。
这样,一行里面就能放3个参数,而且不占很多地儿
(减小行间距)
。
当然,如果一行公式看起来太拥挤,还能调整它的长短。
只需要在公式前面加上#long或者#short,公式就能根据你的心意变成几行,使推导过程看起来更清晰。
此外,如果不想在结论中给出计算结果,只保留参数公式,也是可以的,在前面加个#symbolic就好了。
如下图,原本的计算结果就会被隐去,取而代之的是只有参数的表达式。
△
当你的数学老师想让你计算公式时
而如果想在公式后面加些注释
(或者「式3.1」这种东西)
,这里也能直接生成。
此外,对于特殊字符的生成,这里也有方法。
特殊字符
如果你需要在字母右下角标些脚注,有的脚注可能还会「套娃」。
没关系,用一个下划线就能搞定,一个不够,就多来几个。
此外,有着各种奇怪念法的希腊字母、还有特殊字符等,这里也能根据读音生成。
单位换算
最关键的是,handcalcs绝不仅仅是数学计算式生成器,它还带有单位换算的功能。
如果是物理方面的计算公式,输入表达式和单位后,handcalcs能自动生成单位换算结果。
这样的话,就不用再费劲地列量纲,看这两个单位相乘相除的结果究竟是个啥了。
转成Latex语法
当然,如果你想将生成的Latex公式还原成Latex语法,粘回Latex中去用,这里也提供了非常便捷的操作。
只需要一个%%tex,handcalc就会自动帮你生成Latex语法。
小限制
不过,这个工具包也有一些小限制。
例如,并非所有的数据类型都适用,例如Python的「容器数据」
(collections)
。
此外,也并非Python中的所有公式都适用,例如for就不支持这个工具的渲染。
但除了这些小限制外,这个工具包不失为一个强大的公式生成器,论文中需要生成的公式基本都够用了。
还有一些其他的细节功能,可以戳下方传送门查看。
作者介绍
这份工具的制作者Connor Ferster,并不是计算机专业出身,不过他对Python很感兴趣。
据Conner在社交媒体上的自我介绍,他目前是一名土木工程系的学生。
所以,土木工程论文需求的计算量可能真挺多的?
传送门
工具包链接:
https://github.com/connorferster/handcalcs
python
文章转载自
互联网侦察
,如果涉嫌侵权,请发送邮件至:contact@modb.pro进行举报,并提供相关证据,一经查实,墨天轮将立刻删除相关内容。
评论
领墨值
有奖问卷
意见反馈
客服小墨