


双向图模型
双向图模拟是在2012年VLDB论文《Capturing Topology in Graph PatternMatching》[1]中提出的,是对之前存在的图模拟(GraphSimulation)问题的进一步改进,在 RDF 数据集上,其定义如下:
双向图模拟:给定两个图
其中
为点集合,Σ 为边标签集合,
为带标签的边集合,且 (v,a,w) 表示从点 v 到点w 标签为 a 的边。定义二元关系
, 则 S 为
和
之间的双向图模拟,当且仅当对于所有
:
1. 若
, 则存在
使得
, 且
。
2. 若
, 则存在
使得
, 且
。
双向模拟
。简单来说,我们要求
中每一个参与模拟的点都保留了模式图
中相应点的前驱和后继语义。相比子图同态或者同构,双向模拟允许模式图
中的点到数据图
中的点为一对多映射,也就是说,我们最终得到的是
中每一个点v在
中的模拟点集合
,其中可能包含多个不同的点。此外我们只要求保留前驱和后继的语义关系,但不要求保留
的拓扑结构,这使得双向图模拟得到的
中的模拟点集合是子图同态或者同构能够得到的匹配点集合的超集。例如下图,p4 在双向图模拟的语义下可以作为 v 或者 w 的模拟点,但是在子图同态或者同构中则不能作为匹配。
双向图模拟算法
本文提出了基于不等式系统(SOI,System ofinequalities)的求解双向图模拟的算法。该算法基于以下观察:
给定两个图
,
二元关系, 若 S 为
和
之间的双向图模拟,且
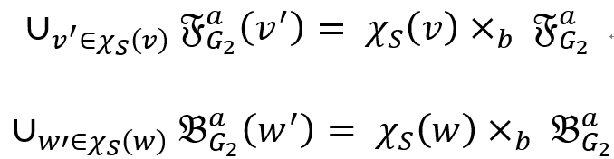
,则

表示 v’ 的一跳后继集合,
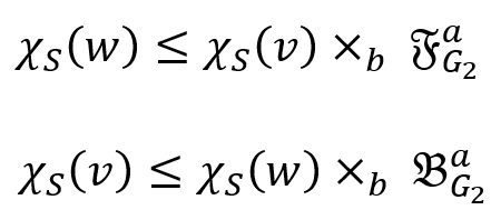
表示 w’ 的一跳前驱集合。也就是说,v 的模拟点一定在w 的模拟点的前驱集合中,而 w 的模拟点一定在 v 的模拟点的后继集合中。根据双向图模拟的定义不难得出该结论。
表示为一个
维的 bit向量,其中第 i 个 bit 为 1,则表示
中的第 i 个点在 v 的模拟点集合
中。对于
和
,则表示为向量与矩阵相乘。本文用
分别表示一个图 G 在边标签 a 上的前向和后向邻接矩阵。在
的第 i 行第 j 列为 1,则表示图中存在边
。在
的第 i 行第 j 列为 1,则表示图中存在边,则:
表示bit矩阵乘法。因此,上述观察可以转换为不等式:


求解表示模式图
和数据图
之间的双向模拟关系 S 的SOI 的方法如下:
1. 我们初始化二元关系
,即每一个变量都为一个全 1 的bit 向量,并将所有不等式设置为不稳定。
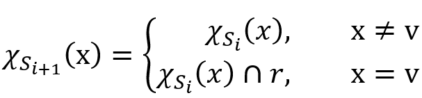
2. 用
表示当前关系,如果存在一个不稳定的不等式
(
表示
或者
),则检查该不等式是否满足,如果满足,则将其设为稳定并继续。如果不满足,则令
, 更新
到
:


表示
中所有标签为 a 的边的源点的集合,而
表示
中所有标签为 a 的边的目的点的集合。
。在SPARQL查询中应用双向图模拟
BGP:对于符合基础图模式的 SPARQL 查询,我们可以将其直接转换为一个模式图,由于SPARQL查询结果一定是双向图模拟结果的子集,因此我们可以先用双向图模拟的方法进行剪枝,在得到的结果集合中再进行 SPARQL查询。
UNION:一些 SPARQL 查询中会包含 UNION 语句,
表示对
两个 SPARQL 查询取并集。对于这种情况,我们只需要将
分别转换为模式图并进行双向图模拟,将得到的结果集取并集,L 的查询结果集合便包含在该并集中,我们可以在其中进行进一步查询。
AND:
表示对
两个 SPARQL 查询在公共变量上取交集。对于该语句,我们需要将
转换出的 SOI 聚合起来。若
产生的 SOI 为
,
产生的 SOI 为
, 则求解
得到的结果集中便包含了 L 的解,可以在其中进行进一步的查询。
OPTIONAL:OPTIONAL 语句略为复杂,
表示
必需满足,而
则以满足
的变量为基础进行进一步搜索,若存在则在结果中报告。例如下列 SPARQL 意为 “找到执导过至少一部电影的导演,如果该导演有合作者,则也找出来”。

产生的 SOI 为
,
产生的 SOI 为
, 我们定义函数mand(),表示变量必需满足的出现,例如上图示表示变量必需满足的出现,例如上图示例中,”?director directed ?movie” 中的 ?director 便为必需满足的出现。”?director workded_with ?coworker” 中的 ?director则不是。更具体的来说:
AND
)=mand(
)∩ mand(
).
OPTIONAL
)=mand(
)
定义重命名函数
则SOI
可以应用于
的求解,其中
中重命名产生的变量的匹配结果必须是
中原变量的匹配结果的子集。ℇ 的求解结果包含了 L 的解。例如,上图中的 SPARQL 语句转换为的 SOI 如下所示:
实验结果
实验使用的数据集包括两个:
DBpedia 数据集[2],包含751,603,507 条三元组,216,132,665个点和65430条谓词(边标签)。
LUBM(LehighUniversity Benchmark)数据集[3],包含1,38,692,508条三元组,328,620,750个点和18个谓词(边标签)。
实验使用的查询集则分为三组,
为来自论文[4]的DBpedia查询集,
为来自论文[5]的DBpedia查询集,
为来自论文[4]的LUBM查询集。
作者首先将本文提出的双向图模拟求解算法和 Ma et al.[1]设计的算法进行了对比,对
产生的模式图在数据图上的求解时间如下图所示,可以发现该算法在执行速度上相比已有算法具有优势。

然后,作者对双向图模拟的剪枝效果进行了测试,结果如下图所示。其中第二列表示SPARQL查询结果的数目,第三列为查询结果相关的三元组的数目,第四列为双向图模拟所需的时间,第五列为双向图模拟剪枝后剩余的三元组数目。可以看到,在DBpedia的查询中(
,
),双向图模拟具有较高的剪枝效果,而在 LUBM的查询(
)中则较差。这是由于 LUBM数据集的谓词种类少,每一个谓词的筛选能力较低,使得剪枝的效果不强。



总结
参考文献







