点击上方👆蓝字关注我们!

数据血缘描述了数据的来源和去向,以及数据在多个处理过程中的转换。数据血缘是组织内使数据发挥价值的重要基础能力。本文从字节跳动的数据链路概况开始,介绍了数据血缘在字节跳动的应用场景、总体设计,数据模型以及衡量指标。
字节跳动数据链路介绍

端数据:APP 和 Web 端通过埋点 SDK 发送的,经过 LogService,最终落入 MQ; 业务数据:APP、Web 和第三方服务所进行的业务操作,通过各种应用的服务,最终落入 RDS;RDS 中的数据,经过 Binlog 的方式,汇入 MQ;
MQ 中的数据,在 MQ 之间有分流的过程,做转换格式,流量拆分等。 离线数仓的核心是 Hive,数据通过各种手段最终汇入其中,使用主流的 HiveSQL 或 SparkJob 做业务处理,流入下游 ClickHouse 等其他存储。 实时数仓的核心是 MQ,使用主流的 FlinkSQL 或通用 FlinkJob 做处理,期间与各种存储做 SideJoin 丰富数据,最终写入各种存储。 典型的数据出口有三类: 指标系统:业务属性强烈的一组数据,比如“抖音日活”; 报表系统:以可视化的形式,各种维度展示加工前或加工后的数据; 数据服务:以 API 调用的形式进一步加工和获取数据。
血缘的应用场景
| 领域 | 场景举例 | 场景描述 | 场景特点 |
| 数据资产 | 引用热度计算 | 资产被频繁消费和广泛引用,是对自身权威性的有利佐证,类似网页引用中的PageRank值,我们根据资产的下游血缘情况,定义了资产定义引用热度值。热度高的资产,更值得被信任。 | 离线方式批量消费血缘数据; 覆盖范围越广越好; 少量错误不会造成恶劣影响 |
| 理解数据上下文 | 在找数据时,通过查看一份数据资产的血缘,来更多的了解它的“前世今生”,可以更好的判定当前资产是不是自己需要的,或者是不是值得信赖的。就像了解一个人,可以从他周围的朋友中得到很多信息一样,是对这个人“生平”很好的补充。 | 实时方式获取血缘数据; 覆盖范围越广越好; 少量错误不会造成恶劣影响 | |
| 数据开发 | 影响分析 | 当处于血缘上游的研发同学修改任务前,通过查看自己的下游,通知对应资产或任务的负责人,进行相应的修改,否则会造成严重的生产事故 | 实时方式获取血缘数据; 覆盖范围越广越好; 血缘错误可能会造成严重事故 |
| 归因分析 | 当某个任务出现问题时,通过查看血缘上游的任务或资产,排查出造成问题的根因是什么 | 实时方式获取血缘数据; 覆盖范围越广越好; 血缘错误会影响效率 | |
| 数据治理 | 链路状态追踪 | 事先挑选已知的核心任务,通过血缘关系,自动化的梳理出其所在的核心链路,并做重点的治理与保障 | 离线方式批量消费血缘数据; 覆盖核心链路; 血缘错误可能会造成严重事故 |
| 数仓治理 | 数仓规范化治理,包括但不限于:数仓分层中不合理的逆向引用;数仓分层不合理;冗余的表与链路等 | 离线方式批量消费血缘数据; 覆盖离线和实时数仓; 少量错误不会造成恶劣影响 | |
| 数据安全 | 安全合规检查 | 资产本身具有安全等级,资产的安全等级不应该低于上游资产的安全等级,否则会有权限泄露风险。基于血缘,通过扫描高安全等级资产的下游,来排除安全合规风险 | 离线方式批量消费血缘数据; 覆盖离线和实时数仓; 错误可能会造成安全风险 |
| 标签传播 | 首先根据规则自动识别(或人工)部分资产的安全标签,基于血缘,将标签自动传播到下游更广泛的资产 | 离线方式批量消费血缘数据; 覆盖离线和实时数仓; 少量不准确不会造成恶劣影响 |
数据血缘系统的整体设计
可扩展性:在字节,业务复杂而庞大,整条数据链路中,使用到的各种存储有几十种,细分的任务类型也是几十种,血缘系统需要可以灵活的支持各种存储和任务类型。 开放的集成方式:消费血缘时,有实时查询的场景,也有离线消费的场景,还有可能下游系统会基于当前数据做扩展。

任务接入:以某种方式,从任务管理系统中获取任务信息; 血缘解析:通过解析任务中的信息,获取到血缘数据; 数据导出:负责将血缘数据存储到 Data Catalog 系统中,并供下游系统消费。
提供两种可选的链路,以应对不同下游系统对于数据实时性的不同要求: 近实时链路:任务管理系统将任务的修改的消息写入 MQ,供血缘模块消费; 离线链路:血缘模块周期性的调用任务管理系统的 API 接口,拉取全量(或增量)任务信息,进行处理。 定义统一的 Task 模型,并通过 TaskType 来区分不同类型任务,确保后续处理的可扩展性: 不同任务管理系统,可能管理相同类型的任务,比如都支持 FlinkSQL 类型的任务;同一任务管理系统,有时会支持不同类型的任务,比如同时支持编写 FlinkSQL 和 HiveSQL; 新增任务管理系统或者任务类型,可以添加 TaskType。
定义统一的血缘数据模型 LineageInfo; 针对不同的 TaskType,灵活定制不同的解析实现,也支持不同 TaskType 可服用的兜底解析策略。比如: SQL 类任务:比如 HiveSQL 与 FlinkSQL,会调用 SQL 类的解析服务; Data Transfer Service(DTS)类:解析任务中的配置,建立源与目标之间的血缘关系; 其他类任务:比如一些通用任务会登记依赖和产出,报表类系统的控制面会提供报表来源的库表信息等。
对于 Data Catalog 中血缘相关 API 调用,实时拉取需要的血缘数据; 消费 MQ 中的血缘修改增量消息,以近实时能力构造其他周边系统; 消费数仓中的离线血缘导出数据,做分析梳理等业务。
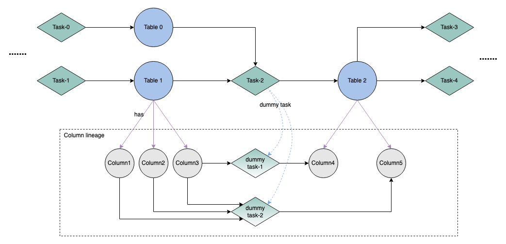
血缘的数据模型

数据节点:对于存储数据的介质的抽象,比如一张 Hive 表,或者是 Hive 表的一列; 任务节点:对于任务(或链路)的抽象,比如一个 HiveSQL 脚本; 从数据节点指向任务节点的边:代表一种消费关系,任务读取了这个数据节点的数据; 从任务节点指向数据节点的边:代表一种生产关系,任务生产了这个数据节点的数据;
将血缘的生命周期与任务的生命周期统一,通过更新任务关联的边来更新血缘关系; 可以灵活的支持从任务切入和从数据节点切入的不同场景。比如数据资产领域从数据节点切入的居多,而数据开发领域从任务切入的场景居多,不同的应用场景可以在一张大图上灵活遍历。
| 方案 | 优势 | 劣势 | 备注 |
| 1:复用任务节点,为字段之间的关系添加特殊定义的边 | 直观上更容易理解 | 边类型数量可能爆炸,写入与遍历复杂 | 上下游的Column之间映射关系多时,劣势明显 |
| 2:在字段之间添加冗余的任务节点,复用边的语义 | 统一了数据模型与遍历过程。 | 冗余了任务节点 | 通常字段之间的任务节点没有实际意义,如果想知道由什么任务引入的关联关系,可以多查询一次虚拟节点与任务节点之间的边。 |
血缘衡量指标
定义:假设一个任务实际的输入和产出与血缘中该任务的上游和下游相符,既不缺失也不多余,则认为这个任务的血缘是准确的,血缘准确的任务占全量任务的比例即为血缘准确率。
SQL 类任务:比如 HiveSQL 和 FlinkSQL 任务,血缘来源于 SQL 的解析,当 SQL 解析服务给出的质量保证是,成功解析的 SQL 任务,产生的血缘关系就一定是准确的,那么这类任务的血缘准确率,就可以转化成 SQL 解析的成功率。 数据集成(DTS)类任务:比如 MySQL->Hive 这类通道任务,血缘来源于对用户登记上下游映射关系的配置,这类血缘的准确率,可以转化成对于任务配置解析的成功率。 脚本类任务:比如 Shell,Python 任务等,这些血缘来源于用户登记的任务产出,这类血缘的准确率,可以转化成登记产出中正确的比例。
人工校验:通过构造测试用例来验证其他系统一样,血缘的准确性问题也可以通过构造用例来验证。实际操作时,我们会从线上运行的任务中采样出一部分,人工校验解析结果是否正确,有必要的时候,会 mock 掉输出,持续运行校验。 埋点数据验证:字节中的部分存储会产生访问埋点数据,通过清洗这些埋点数据,可以分析出部分场景的血缘链路,以此来校验程序中血缘产出的正确性。比如,HDFS 的埋点数据可以用来校验很多 Hive 相关链路的血缘产出。 用户反馈:全量血缘集合的准确性验证是个浩瀚的过程,但是具体到某个用户的某个业务场景,问题就简化多了。实际操作中,我们会与一些业务方深入的合作,一起校验血缘准确性,并修复问题。
定义:当至少有一条血缘链路与资产相关时,称为资产被血缘覆盖到了。被血缘覆盖到的资产占关注资产的比例即为血缘覆盖率。
定义:从任务发生修改,到最终反应到血缘存储系统的端到端延时。
未来
首先,是持续提升血缘的准确性。当前我们的血缘准确性已经提升到了可用的状态,但是依然需要人工的校验与修复。如何持续稳定的提升准确性,是探索的重要方向。 其次,是血缘的标准化建设。除了数据血缘之外,应用级别的血缘其实也很重要,在解决方案上,我们希望做到通用与标准。当前业务方会基于数据血缘拼接一些自己业务领域的链路,完成标准化后,这部分用例可以复用整套基础设施,定制产品层面的展现就好了。 最后,是加强对外部生态的支持。细分下来有两个方向,一是探索通用的 SQL 类血缘解析引擎,当前,新接入一种 SQL 类的引擎血缘,成本是比较高的;二是支持开源或公有云上产品的端到端血缘。

文章转载自火山引擎开发者社区,如果涉嫌侵权,请发送邮件至:contact@modb.pro进行举报,并提供相关证据,一经查实,墨天轮将立刻删除相关内容。




