* GreatSQL社区原创内容未经授权不得随意使用,转载请联系小编并注明来源。
索引介绍
索引是一种特殊的数据库结构,被设计用来快速查询数据库表中的特定记录。索引有多种类型,就像字典有拼音查找和偏旁查找一样都是为了提高检索效率。MySQL中最常见的索引类型有
B+树索引
和哈希索引
,下面来简单介绍一下这两种索引类型有哪些差别和优劣。
B+树索引
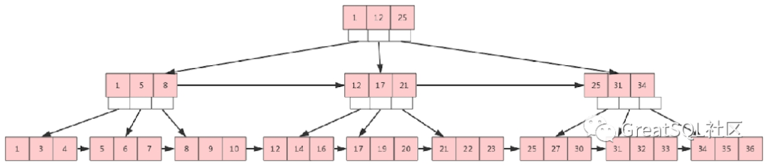
B+树索引是一种多路径的平衡搜索树,具有如下特点:
1.非叶子节点不保存数据,只保存索引值 2.叶子节点保存所有的索引值和数据 3.同级节点通过指针自小而大顺序链接 4.节点内的数据也是自小而大顺序存放 5.叶子节点拥有父节点的所有信息
结构如下图:

优点
由于数据顺序存放,所以无论是区间还是顺序扫描都更快。 非叶子节点不存储数据,因此几乎都能放在内存中,搜索效率更高 单节点中可存储的数据更多,平均扫描I/O请求树更少 平均查询效率稳定(每次查询都从根结点到叶子结点,查询路径长度相同)
缺点
新增数据不是按顺序递增时,索引树需要重新排列,容易造成碎片和页分裂情况。
哈希索引
哈希索引采用一定的哈希算法,把键值换算成新的哈希值,检索时不需要类似B+树那样从根节点到叶子节点逐级查找,只需一次哈希算法即可立刻定位到相应的位置,速度非常快,具有如下特点:
1.哈希索引建立在哈希表的基础上 2.对于每个值,需要先计算出对应的哈希码(Hash Code),不同值的哈希码唯一 3.把哈希码保存在哈希表中,同时哈希表也保存指向对应每行记录的指针
结构如下图:

优点
大量唯一等值查询时,哈希索引效率通常更高。
缺点
哈希索引对于范围查询和模糊匹配查询显得无能为力。 哈希索引不支持排序操作,对于多列联合索引的最左匹配规则也不支持。 哈希索引不支持前缀索引,因为哈希索引始终是使用索引列的全部内容来计算哈希值。 如果存在哈希冲突的情况,也就是不同的索引列有着相同的哈希值,这时候需要遍历链表中所有的行指针进行逐行比对,直到找到所有满足条件的行,效率较低。
Enjoy GreatSQL :)
点击小程序留言
《零基础学习MySQL》视频课程
戳此小程序即可直达腾讯课堂
或复制链接在浏览器中打开
https://ke.qq.com/course/4333819?tuin=d30dd11f
文章推荐:
关于 GreatSQL
GreatSQL是由万里数据库维护的MySQL分支,专注于提升MGR可靠性及性能,支持InnoDB并行查询特性,是适用于金融级应用的MySQL分支版本。
Gitee: https://gitee.com/GreatSQL/GreatSQL
GitHub: https://github.com/GreatSQL/GreatSQL
Bilibili:
https://space.bilibili.com/1363850082/video
微信&QQ群:
可扫码添加GreatSQL社区助手微信好友,发送验证信息“加群”加入GreatSQL/MGR交流微信群,亦可直接扫码加入GreatSQL/MGR交流QQ群。
微信


想看更多技术好文,点个“在看”吧!
文章转载自GreatSQL社区,如果涉嫌侵权,请发送邮件至:contact@modb.pro进行举报,并提供相关证据,一经查实,墨天轮将立刻删除相关内容。






