Table of Contents
一. 微积分学习概述
学校学的微积分知识早已还给了老师,奈何深入计算机很多领域,都离不开微积分。
这里,整理了一些不错的微积分的教程,看了很多资料,最后还是这几个资料让我入门了微积分。
文字版:
https://zhuanlan.zhihu.com/p/481027124
视频版:
https://www.bilibili.com/video/BV1if4y187mK?spm_id_from=333.999.0.0
https://www.bilibili.com/video/BV1KM4y1g7ud?spm_id_from=333.999.0.0
https://www.bilibili.com/video/BV1PL411W7Mu?spm_id_from=333.999.0.0
https://www.bilibili.com/video/BV16E411u7ud?p=30
https://www.bilibili.com/video/BV16E411u7ud?p=31
二. 导数
微分实际上是求一函数的导数
积分是已知一函数的导数,求这一函数
这个抛物线在某一点上的斜率,就是此时的导数。

导数的定义:

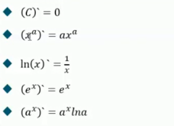
常用的导数公式:

求导的四则运算:

如果导数先正、然后为零、再是负值,则证明为零的点是最大值
同理,可以推断到指定区间的最小值

三. 积分
微分实际上是求一函数的导数
积分是已知一函数的导数,求这一函数
曲线梯形的面积:

定积分的定义:


定积分的几何意义:

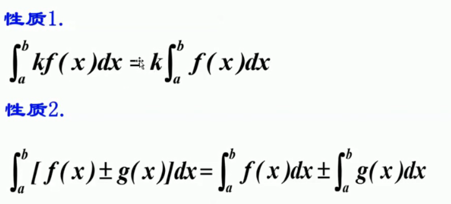
定积分的运算:

定积分的基本性质:


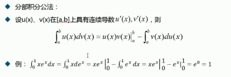
分布积分法:

不定积分 设F(x)是函数f(x)的一个原函数,我们把函数f(x)的所有原函数F(x)+C(C为任意常数)叫做函数f(x)的不定积分。记作∫f(x)dx。
参考:
- http://www.dataguru.cn/article-4362-1.html
「喜欢这篇文章,您的关注和赞赏是给作者最好的鼓励」
关注作者
【版权声明】本文为墨天轮用户原创内容,转载时必须标注文章的来源(墨天轮),文章链接,文章作者等基本信息,否则作者和墨天轮有权追究责任。如果您发现墨天轮中有涉嫌抄袭或者侵权的内容,欢迎发送邮件至:contact@modb.pro进行举报,并提供相关证据,一经查实,墨天轮将立刻删除相关内容。




