Table of Contents
一. 方差分布概述
方差分布服从F分布

F分布的分位点:

二. 单因素方差分析
前提条件:
- 各个总体是(近似)正态分布
- 各个总体具有相等方差
- 样本是随机样本
- 各个样本间相互独立
- 单因素试验
2.1 检验统计量

例子:

2.2 One-way ANOVA model


[外链图片转存失败,源站可能有防盗链机制,建议将图片保存下来直接上传(img-c1YhjfiN-1652774493245)(https://upload-images.jianshu.io/upload_images/2638478-522eb49faeb73060.png?imageMogr2/auto-orient/strip%7CimageView2/2/w/1240)]
例子:

2.3 多重比较试验

Bonferroni test

例子:

交互作用:

数据探索:

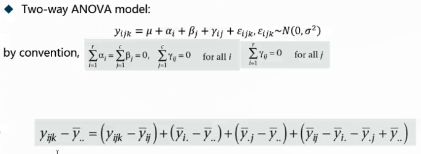
三.多因素方差分析
前提条件:
- 各个总体是(近似)正态分布
- 各个总体具有相等方差
- 样本是随机样本
- 各个样本间相互独立
- 双因素试验



例子:

参考:
- http://www.dataguru.cn/article-4362-1.html
「喜欢这篇文章,您的关注和赞赏是给作者最好的鼓励」
关注作者
【版权声明】本文为墨天轮用户原创内容,转载时必须标注文章的来源(墨天轮),文章链接,文章作者等基本信息,否则作者和墨天轮有权追究责任。如果您发现墨天轮中有涉嫌抄袭或者侵权的内容,欢迎发送邮件至:contact@modb.pro进行举报,并提供相关证据,一经查实,墨天轮将立刻删除相关内容。




