点击蓝字
关注我们
一不小心就拖更两次,十分抱歉啊
(。・_・。)ノI’m sorry~
这次给大家带来的介绍是机器学习的五大流派。
随着时代的发展,我们获取知识的途径,不只是进化、经验以及文化三种形式,计算机也逐渐成为新的途径。不管我们是否有意识到,这种机器学习正在潜移默化改变着我们,那机器是怎么发现知识的呢?
五大主义教机器学会学习

壹
符号主义
起源学科:逻辑学与哲学
学习方法:逆向演绎,即通过归纳已有的知识去获取规律,再提出假设或者得出结果。可以类比为一位数学家,在进行数字运算并得到最终结果。符号主义使得机器学会了1+1 = 2,2-1=1,之后它一步步学会了解1+x=2的未知方程。

不足:普适性较低,当遇到预设算法之外的内容时,难以自适应处理,可能会得到非常杂乱多变的结果。同时具有较强逻辑链条,过程中每一个小漏洞都有可能随着链条的累计而逐渐放大,从而导致链条崩溃。
而且逆运算的解决多,算法不确定性大,容易犯错,譬如0*x = 0,便有无数的解。
代表算法:决策树


贰
联结主义
起源学科:神经科学
学习方法:这一流派主要是模仿大脑工作的流程,由多个基础性原理与规则通过正向演绎与反向推测的多点静态结构,在各原理之间搭建桥梁,从而形成一个类似于大脑神经的网络。

不足:庞大的神经系统涉及到无数个节点,而网络对于外部处于黑盒状态。并不能观察中间过程,如果某一节点出现问题,就会导致整个系统出现偏差,这种错误节点的寻找是极其困难的。此时,需要通过反向传播,对比结果并调整每个过程的权重,进行负反馈,直到进行一种较好的状态。
主要算法:反向传播算法,是神经网络的关键算法,其本质是一种拼接数据模型,对网络进行训练从而改变其权重和阈值。它使得机器可以类似刷题一样,进行自主学习、纠错和完善。


叁
进化主义
起源学科:进化生物学
学习方法:正如自然选择学说里面所阐述的,自然界通过选择、交叉、突变这三个过程,进行优胜劣汰适者生存的结局,我们通过电脑模拟这种进化,确定目标后,寻找到候选解中的最优解。

不足:目前遗传算法才刚刚起步,技术上仍有不成熟的地方,而且遗传会有较多的可能性,不确定的影响因素和难以预测的突变数目过多,难以建立复杂的行为系统。
主要算法:遗传算法,计算机系统的基础编码便是0和1,这一算法模仿基因遗传的做法,通过01进行简单编码,创造一个出事种群,再模拟自然选择机制,测试其在各种环境下的情况,再通过概率化的寻优方法,使得变异朝着最优解方向进行,最终得到更近似的最优解

肆
贝叶斯主义
起源学科:统计学
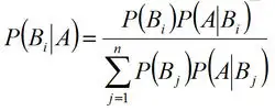
学习方法:这一流派是基于贝叶斯理论发展的,其核心思想为主观估计概率,修正发生概率,进而选择最优决策。里面的概率是统计学中原理假设概率,会随着新证据的出现不断被修正。

不足:贝叶斯统计有着鲜明的归纳特性,因此如果中图其假设的理论和证据发生了较大偏差,那么其预测概率的准确度会大打折扣。
主要算法:概率推断,事件的发生不是非黑即白的,概率推断是一种根据不确定的信息作出决定时进行的推理方法,譬如天气预报报告降雨概率为90%,此时可能是不会下雨的,这种算法,使得机器可以处理概率信息模型。

伍
类比主义
起源学科:心理学
学习方法:其核心思想在于相似性原理,新旧知识间具备相似性,但是它们之间存在一条边界线,通过观察相似度寻找到区分的边界线,从而区分新旧知识。
不足:对于核函数的选取,缺乏明确的规则,导致对缺失数据的处理效果差。同时计算效率较低,对大规模数据处理困难,需要耗费大量算力进行超平面计算寻找。
主要算法:支持向量机,其基本思想是在高维空间中寻找一个最优超平面分割数据群体,这个超平面要保证最小的分类错误率。





★ 总结 ★
虽然目前连接主义下的深度学习最为火热,进化主义对连接主义这种机械性地模拟人脑的行为是不赞成的,还有的说人工智能是三大主义等等。但是,目前无论是五大流派还是三大主义,流派独立几乎是不符合发展需要,五个流派正在逐渐走向融合的道路,或许万宗归一,算法大融合会成为新的主导流派呢?


Xiaxia Lab
科研|教学|数据
联系邮箱|xyu3@qq.com




