0. 引言
你知道索引的底层数据结构是什么吗?
mysql为什么用B+树而不用红黑树?
mysql为什么用B+树而不用B树?... ... 这样一些问题经常出现来mysql的面试中,mysql中两个比较重要的概念就是锁与索引,而mysql的行锁本身就是通过锁定索引来实现的,所以理解索引的底层原理十分必要。
那么今天,我们从mysql索引的底层数据结构出发,带大家学习mysql的底层原理
1. 什么是索引?
首先我们要来复习一下索引的概念,什么是索引?
官方对于索引的定义是帮助mysql高效获取数据的数据结构。就像我们把一张表看作一本书的话,索引就是我们的目录。所以索引的本质呢是数据结构,将指定数据按照一定的结构顺序存放。
索引如何实现高效的查找数据呢?想象一下,我现在有一堆杂乱无章的数据:2,4,5,7,2,1,6
你如何找到快速地找出5的位置呢?按照我们全表查询的思维我们需要从左往右,将数据一一遍历一遍,找出所有值为5的位置

这样的查询速度,肯定达不到我们高效查询的效果。就像你想从字典查询某个字的话,难道你会一页一页的翻阅查找吗?
想想我们是怎么做的?根据拼音、根据偏旁部首等等一些特征来归类查询的。其实就是将其索引按照一定的排序规则进行排序,因为有序了,那么我们的查找速度就能提高了。
2. 数据结构的选择
既然知道要排序了,那么下一步我们就要选择适当的数据结构了,这里可能需要大家具有一定的数据结构知识,常用的可排序的数据结构有哪些?

其中最能提高查询效率的就是hash表和树
因此mysql中正是利用了这两种数据结构来作为索引的底层结构支撑。
但我们需要注意的是,hash表因为将key作为hash code后存储,随机查询能力极强,但是不具备排序的能力,因为已经被hash一遍了,丢失了原本的数值。所以一般用于等值查询,而不能用于范围查询与排序
在mysql中只有memory存储引擎支持hash表。而innodb和myisam都是使用的B+树,hash表的结构也比较简单,所以我们今天来重点讲解B+树结构,以及mysql是如何一步步进化到B+树的结构的。
3. 树的演变
3.1 二叉搜索树 BST
其实谈到树结构,我们首先想要的是较为简单的二叉树,但因为要具有排序的能力,于是引入了二叉搜索树(Binary Search Tree,BST),这里我就不再对各种树结构的基本概念进行讲解了,如果还没有掌握这块知识的同学可以先学习树的各种结构
我们利用数据结构可视化网站[1]来使用二叉搜索树来将上述的数据重新排序。同时也非常推荐大家使用这个网站来学习数据结构
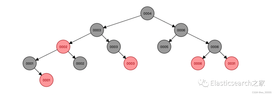
原数据:2,4,5,7,2,1,6
我们可以看到这样的结构,查询1时,只需要2步就能找到,大大提高了查询效率

但这样的结构有一个非常致命的问题,当我们的数据本身就是有序时,就会退化为链表结构,其查询速度又变成了全表查询的速度

3.2 二叉平衡树 AVL
于是我们引入了二叉平衡树(Balanced binary search trees,AVL),他会通过旋转自动调整树的结构,也就是说他会自动保证树结构的平衡,而不会出现二叉搜索树的问题。当然旋转操作也是要消耗性能的,是通过牺牲更新数据时的性能来换取查询数据时的性能,但是这样的牺牲显然是值得的。

那么二叉平衡树就能解决问题了吗?很遗憾并不能, 二叉平衡树有一个限制:最短子树和最高子树之间的高度差不能超过1
怎么理解这句话呢?我们再插入一个1和5,大家会发现我们的最高子树是2、1、1,高度是3,而最低子树有3个,高度都是2,其相差都不会超过1

这样的一个规定导致一个非常严重的问题,当我们的数据越来越多时,因为子树相差不能超过1,那最高的子树高度增加,最低的子树高度也要跟着增加,也就导致整个树的高度越来越高
树的高度增加会带来什么问题?我们对于数据的查找,实际上是和高度相关的,高度越高,当我们要查询底下的数据时,消耗的时间就越久,比如上图所示,我们要查询1时,我们要从5->2->1->1才能查询完
并且数据的存储还有一个问题,数据在磁盘中存储如何物理空间是挨在一起的,那么其查询速度就快,如何不是挨在一起的查询速度就慢,这也正是我们上章中举的村头村尾的例子。
所以也就意味着,树越高需要查询时需要消耗的IO就多,查询速度就慢。因此AVL也不能满足了
有同学看到这里,可能会说,既然最低子树和最高子树高度差限制为1导致了这个问题,那么你把高度差限制取消掉不就好了吗?
想象一下我们把高度差限制取消掉,AVL怎么判断是否要旋转来调整树结构呢?不旋转不就又退回到BST了吗?
那既然高度差限制不能取消,你调大一点嘛~ 对咯!这就是我们要讲的下一种树的思路
3.3 红黑树
红黑树(Red-Black Trees)通过左旋和右旋来调整树高的平衡,并且加入了变色的行为,要求根节点为黑色,其他节点都是红色,也因此得名,通过加入颜色值,作为二叉树平衡度的检查标准,只要插入节点的颜色满足要求,最短树高和最长树高之差不会相差太远。
并且红黑树将树高差限制放宽了,只要最高子树的树高不超过最矮子树的树高的2倍即可

同时红黑树在jdk1.8中也被作为HashMap的底层数据结构,似乎一切都在朝着美好的一面发展。
但你以为这样就结束了吗?
NO! 生活往往会在我们放松警惕的时候给我们沉重打击。随着业务量的持续增加,数据量变得越来越多,红黑树的树高还是会不可避免的越来越高,即使高度差拓展到了2倍,可还是不够~
为什么会这样呢?大家不要忽略一个最重要的因素,红黑树也依然是二叉树,二叉!它只有两个分支,即使再旋转,它也只有两个分支,只要数据量达到一定地步,树的高度不可避免的还是要增加。
有的同学可能就会疑惑了,那为什么HashMap可以用红黑树而mysql里就不能用了呢?
这就是使用场景的不同了,mysql作为持久性的数据库存储,基于磁盘来实现,而HashMap可能作为代码运算或者本地缓存,并不作数据的持久化存储,基于内存来实现,其场景就已经限制磁盘存储的量一定比内存存储的量要大的多得多。
那解决办法是什么呢?
很简单,很粗暴,就是增加分支数!
3.4 B树
B树是有序多叉树,每个节点中能够存储的数据变多了,同时每层的节点数也增加了

我们经历了这么多的演变,终于实现了容量的提升,可是你觉得万事大吉了吗?
我们来深入的讲解一下树中每个节点的结构,如图所示,树中的每个节点我们称之为数据页,大小为16KB。也就是说每个节点只能装16KB的数据,装满就挪到下一个节点中。
而B树中每个节点中,不仅要装索引值,而且要装该索引对应的数据。是一个key-value结构,如果是主键索引,那么key就是主键值,那么value就是行数据

这样的结构意味着什么呢?随着数据量的持续增加,因为数据页大小固定为16KB,又因为节点既要装索引值,又要装索引对应的数据,索引值一般很小,数据会占用大部分的空间,使得每个节点能装的索引其实不多,那么树的高度又会不断的变高。
树越高,IO越多,查询越慢。于是乎~性能瓶颈又来了。
怎么办呢?
既然因为data占用了极大部分的空间,那么我们能不能不在节点能放data数据呢?答案是不行,因为我们的目的是要根据索引找到数据,根本目的是数据,而不是索引,所以去掉数据肯定不行。
但是我们可以给数据换个位置
3.5 B+树
B+树的处理更加聪明了,我们只在叶子节点中存储数据,非叶子节点中只存储索引以及指向下个节点的指针。
这样的处理方案,是的非叶子节点能够存储的索引数据会大大增加,那么树整体的高度就会下降。从而提高查询效率
同时B+树还在叶子节点之间加上了双向指针,使得分页查找的速度也大大提升。当需要进行遍历操作的时候直接通过叶子节点的链表查询

同时大家还需要注意的是,非主键索引中,data存储的是主键数据,而在主键索引中,不同的存储引擎会存储不同的数据:
•innodb:主键索引的叶子节点,存储的是行数据,也体现出innodb存储方式采用的是聚簇索引,即innodb的索引和数据是放在同一个文件里存储的•myisam: 主键索引的叶子节点,存储的是指向行数据的内存地址,并没有真正存储行数据,体现出采用的是非聚簇索引,所以miysam的数据和索引是放在两个文件里分开存储的。
到了这里,大家明白我们在一开始提出的几个问题应该怎么回答了吗?一定要自己理解,并且总结,然后再复述出来,学会将知识点输出出来。
本期的分享就到此结束了,如果你想要进阶学习mysql的调优知识,不妨关注专栏,我们下期见~
Elastic开源社区
长按加关注,学习不迷路


你们点点“分享”,给我充点儿电吧~
References
[1]
数据结构可视化网站: https://www.cs.usfca.edu/~galles/visualization/Algorithms.html




