原文链接:http://tecdat.cn/?p=24940
变量选择是高维统计建模的重要组成部分。许多流行的变量选择方法,例如 LASSO,都存在偏差。带平滑削边绝对偏离(smoothly clipped absolute deviation,_SCAD_)正则项的回归问题或平滑剪切绝对偏差 (SCAD) 估计试图缓解这种偏差问题,同时还保留了稀疏性的连续惩罚。
相关视频
惩罚最小二乘法
一大类变量选择模型可以在称为“惩罚最小二乘法”的模型族下进行描述。这些目标函数的一般形式是

其中
是设计矩阵,
是因变量的向量,
是系数的向量,
是由正则化参数索引的惩罚函数
.
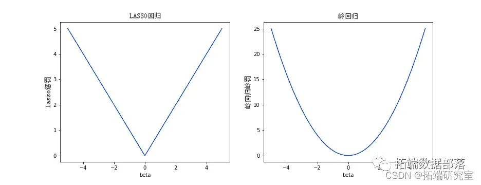
作为特殊情况,请注意 LASSO 对应的惩罚函数为
,而岭回归对应于
。回想下面这些单变量惩罚的图形形状。

SCAD
Fan和Li(2001)提出的平滑剪切绝对偏差(SCAD)惩罚,旨在鼓励最小二乘法问题的稀疏解,同时也允许大值的 β。SCAD惩罚是一个更大的系列,被称为 "折叠凹陷惩罚",它在以下方面是凹的, R+ 和 R-。从图形上看,SCAD 惩罚如下所示:

点击标题查阅往期内容


左右滑动查看更多

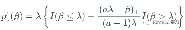
有点奇怪的是,SCAD 惩罚通常主要由它的一阶导数定义
, 而不是
。它的导数是

其中 a 是一个可调参数,用于控制 β 值的惩罚下降的速度,以及函数
等于
如果
, 否则为 0。
我们可以通过分解惩罚函数在不同数值下的导数来获得一些洞察力 λ:

对于较大的 β 值 (其中
),惩罚对于 β 是恒定的。换句话说,在 β 变得足够大之后,β 的较高值 不会受到更多的惩罚。这与 LASSO 惩罚形成对比,后者具有关于 |β|的单调递增惩罚:

但是,这意味着对于大系数值,他们的 LASSO 估计将向下偏置。
另一方面,对于较小的 β 值 (其中 |β|≤λ),SCAD 惩罚在 β 中是线性的。对于 β 的中等值(其中
),惩罚是二次的。
分段定义,pλ(β) 是

在 Python 中,SCAD 惩罚及其导数可以定义如下:
def scad:
s_lar
iudic =np.lgicand
iscsat = (vl * laval) < np.abs
lie\_prt = md\_val * pab* iliear
return liprt + urtirt + cosaat
使用 SCAD 拟合模型
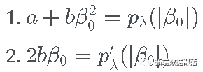
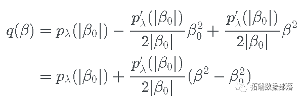
拟合惩罚最小二乘模型(包括 SCAD 惩罚模型)的一种通用方法是使用局部二次近似。这种方法相当于在初始点 β0 周围拟合二次函数 q(β),使得近似:
关于 0 对称,
满足 q(β0)=pλ(|β0|),
满足 q ′ (β0) = p′λ (| β0 |)。
因此,逼近函数必须具有以下形式

对于不依赖于 β 的系数 a 和 b 。上面的约束为我们提供了一个可以求解的两个方程组:

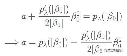
为了完整起见,让我们来看看解决方案。重新排列第二个方程,我们有

将其代入第一个方程,我们有

因此,完整的二次方程是

现在,对于系数值的任何初始猜测 β0,我们可以使用上面的 q 构造惩罚的二次估计。然后,与初始 SCAD 惩罚相比,找到此二次方的最小值要容易得多。
从图形上看,二次近似如下所示:

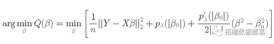
将 SCAD 惩罚的二次逼近代入完整的最小二乘目标函数,优化问题变为:

忽略不依赖于 β 的项,这个最小化问题等价于

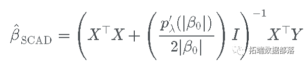
巧妙地,我们可以注意到这是一个岭回归问题,其中


回想一下, 岭回归 是

这意味着近似的 SCAD 解是


本文摘选《Python高维统计建模变量选择:SCAD平滑剪切绝对偏差惩罚、Lasso惩罚函数比较》,点击“阅读原文”获取全文完整资料。
点击标题查阅往期内容











