原文链接:http://tecdat.cn/?p=25770
在本文中,我们展示了 copula GARCH 方法拟合模拟数据和股票数据并进行可视化。 r
还提供了一个特殊情况(具有正态或学生 t残差)。
一、如何在R中对股票x和y的收益率拟合copula模型
数据集
为了这个例子的目的,我使用了一个简单的股票x和y的收益率数据集(x.txt和y.txt)。
首先,我们需要加载数据并将其转换成矩阵格式。也可以选择绘制数据。
x <- read.table
y <- read.table
# 实际观察结果
plot
数据的图表

现在我们已经加载了我们的数据,可以清楚地看到,存在正相关。
下一步是拟合。为了拟合数据,我们需要选择一个copula模型。该模型应根据数据的结构和其他因素来选择。作为第一种近似值,我们可以说我们的数据显示了正相关,因此一个可以复制这种相关的copula模型应该是不错的。我选择使用正态copula。对于其他类型的copula模型来说,拟合过程是相同的。
让我们来拟合数据
# 正态Copula
normalCopula
fiop<- fit
# 系数
rho <- coef

请注意,数据必须通过函数pobs()输入,该函数将真实观测值转换为单位平方[0,1]的伪观测值。
还要注意的是,我们使用的是 "ml "方法(最大似然法),但是也有其他方法,如 "itau"。
在我们的例子中,拟合的协整参数rho等于0.73。让我们模拟一些伪观察结果。
通过绘制伪观测值和模拟观测值,我们可以看到使用copula的模拟与伪观测值的匹配情况。
# 伪观察
pobs
plot
# 模拟数据
u1 = rCopula

这个特定的copula可能不是最好的,因为它显示了严重的尾部相关性,而这在我们的数据中并不强烈,不过这只是开始。
点击标题查阅往期内容


左右滑动查看更多

我们可以选择将数据与每个随机变量的分布画在一起,如下所示
# 用柱状图绘制数据
hst <- hist
top <- max
layout
par
plot
barplot
并得到我们的原始数据集的这种表现形式

将 t copula 拟合到标准化残差 Z
。对于边缘分布,我们还假设 t分布,但具有不同的自由度;为简单起见,此处省略了估计。

n <- rep # 边际自由度;为了简单起见,这里使用已知的自由度
es <- cbind # 拟合与真实
rownames

从拟合的时间序列模型中模拟
从拟合的 copula 模型进行模拟。
并为每个边缘绘制结果序列 (Xt)
X <- sapply # 模拟序列X_t
matplot

二、模拟数据
首先,我们模拟了分布。为了演示的目的,我们选择了一个小的样本量。
##模拟
Copula # 定义copula对象
set.seed(21) # 可重复性
# 对copula进行采样
sqrt * qt # 对于ugarchpath()来说,边缘必须具有均值0和方差1!
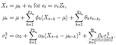
现在我们使用依赖于 copula 来模拟两个 ARMA(1,1)-GARCH(1,1) 过程。ARMA(p1,q1)-GARCH(p2,q2) 模型由下式给出

## 固定边缘模型的参数
fixedp <- list
var <- list(model = "sGARCH") # 标准GARCH
garch # 条件创新密度(或者使用,例如,"std")。
## 使用从属创新模拟ARMA-GARCH模型
garch n.sim = n, # 模拟的路径长度
m.sim = d, # 要模拟的路径数量
##提取结果系列
fit# X\_t = mu\_t + eps_t (模拟过程)
sig # sigma_t (条件性标准偏差)
resid # epsilon\_t = sigma\_t * Z_t (残差)
## 绘制
matplot

基于模拟数据的拟合
我们现在展示如何将 ARMA(1,1)-GARCH(1,1) 过程拟合到 X
garchspec
fit <- apply
检查(标准化的)Z,即残差Z的伪观测值。
Z <- sapply
U <- pobs
plot

将 t copula 拟合到标准化残差 Z
。对于边缘分布,我们还假设 t分布,但具有不同的自由度;为简单起见,此处省略了估计。
fitCopula
n <- rep # 边际自由度;为了简单起见,这里使用已知的自由度
es <- cbind # 拟合与真实
rownames

从拟合的时间序列模型中模拟
从拟合的 copula 模型进行模拟。
set.seed(21) # 可重复性
U <- rCopula
Z. <- sapply
## => 标准化的garchsim()
sim <- lapply
并为每个边缘绘制结果序列 (Xt)
X <- sapply # 模拟序列X_t
matplot


本文摘选《R语言ARMA GARCH COPULA模型拟合股票收益率时间序列和模拟可视化》,点击“阅读原文”获取全文完整资料。
点击标题查阅往期内容











