

1 流量分发场景
在流量分发场景,人们对算法模型有两层需求(既要又要):
1.1 不干预:流量分发由模型接管
每个用户每次的内容呈现由模型决策,模型以最大化模块当前的UV价值为目标,具有以下特点:
模型决策过程黑盒,很难具有可解释性。
模型决策效果>>HLP(HumanLevelPerformance),HLP可以视为某种具体分发规则的实现。
该场景下的流量我们称之为自然流量,自然的含义是指没有人为干预。
1.2 干预:流量分发可以被干预
很多情况下流量分发只考虑当下的UV价值是不够的,例如:
出于战略目标,希望保证某些商品具有足够多的流量。
商品已到库存成本警戒线,需要加大清库存。
新品培育、换季趋势商品需要更多流量支持。
为保证用户体验需要人为调整流量。
上述几个场景相当于指定业务流量分发的大方向大策略,在此之下依赖重排模型落地精细柔性的流量调配能力,以最小的代价实现流量调配的业务目标。
该场景下的流量我们称之为调配流量,主要作用在重排阶段,有针对性的精细调整。

2 流量决策的目标
自然流量分发模型为“T+1更新” + “实时特征” 可以捕获变化,但需要一定的时间积累适应数据,等模型适应后变化已经消失。 可以增加策略,但太过生硬无法逼近最优解。
2.2 关注业务的长期价值
自然流量算法:解决如何高效分发问题 调配流量算法:解决如何有效干预问题
3 流量调配技术
真实的流量分发场景,用户看到最终的Item(广义表述,可以是商品、内容、活动)呈现,历经的Pipelin包括:召回→过滤/合并→精排→重排。流量决策落地在重排阶段,同时流量决策需要先回答两个问题:
对哪些Item进行流量扶持?
涉及到业务长期价值和潜力Item挖掘,先按下不表。如何对扶持Item进行流量调配?
对当下模块价值不产生大影响,同时满足需要的加量目标,最好做到每份流量的调配决策差异。
流量调配的技术方案在我们场景分为两种:
Machine Learning(ML) + Operations Research(OR),将机器学习的输出作为运筹优化的输入,通过目标定义和约束表达来调整排序位置。
构建实时反馈系统,以控制论PID算法更新动态参数,决策调配的Item。
3.1 ML+OR
我们依赖开源包OR-Tools作为优化求解实现。精排阶段的输出提供CTCVR,扶持商品有流量目标 Demand,基于这些数据可以构建优化求解的定义。
定义求解器
重排问题可以视为0-1规划,Rerank Matrix为重排矩阵,其中代表该Item重排结果,行数据 为重排后的位置,列数据 为重排前位置。 定义变量
Rerank Matrix中的每个值均为 0-1 BooleanVariable。定义约束
Rerank Matrix 矩阵的每一行、每一列相加为1;
也可以加类目多样性约束,CateInfoMatrix为重排前每个位置的Item类目信息。

最终在 Rerank Cate Info Onehot 矩阵中计算类目占比约束。
定义目标
将重排前Item的 CTCVR 、流量Demand可以综合为 OrgScoreWeight
PosWeight 为每个位置的权重

优化求解
最终目标函数为:MAX(sum(Object_Info))
该方案的好处是可以实时基于数据求解,坏处是会引入额外 20ms-30ms的耗时,但可以在重排范围,变量数量,T+1 调用等方面去缓解耗时问题。
3.2 控制论 PID
PID(proportion integration differentiation) 是控制论中广泛使用的算法。实现PID的关键是构建实时反馈环境,基于误差动态调整参数,达到实际值在目标值的接受区间内波动的控制效果。具体看下图示意:

图中Reference、Sensor、Controller共同构成PID的控制实现组件。
在每一个时间片内Sensor收集数据,计算和Reference差异,通过Controller更新参数调节,最终使得目标数据在Reference区间内波动。
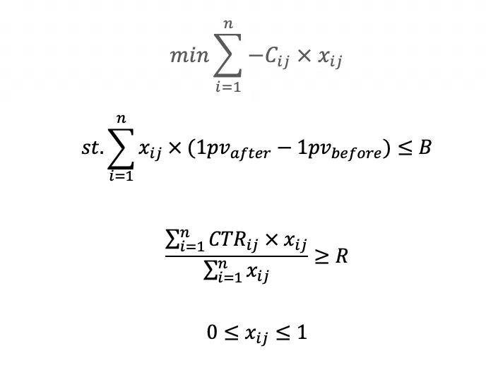
在我们的流量决策场景里,将重排问题转化为预算花费问题(类似程序化广告投放),预估每个位置的千展价值CPM,扶持商品的位置上拉定义为预算消耗,重排问题定义目标如下:

引入两个约束: 总调节花费要小于总预算
问题定义推导后可以得到和约束相关的参数
控制预算花费,当预算未花费缺口大, 减小提升调整幅度。 控制CTR下限,当CTR下滑较多, 变大降低调整幅度。
动态参数
每个时间片会计算误差来更新参数,
该方案的好处是动态参数的更新和实时请求解藕,流量调配的重排不会增加请求链路的耗时,坏处是当环境数据比较动荡,动态参数不稳定会导致控不准。
4 最后
本文为严选流量决策项目的阶段总结,错漏之处欢迎交流沟通。






