源码
https://gitee.com/pingfanrenbiji/RuoYi-flowable/
服务部署
创建数据库flowable,并初始化sql脚本
配置mysql、redis
启动ruoyi-admin后端服务
启动vue前端服务
进入登录页面

流程设计
流程定义-导入流程

或者 流程定义-新增流程

默认有一个开始事件,添加一个处理节点

选中经理节点设置用户任务
该经理节点设置审批人tony,再添加一个老板节点并指定审批人

网关流程-以请假流程为例

这个是网关节点
设置网关节点类型

配置跳转条件

保存模型

配置请假表单
表单配置-新增表单

请假天数的字段名必须和配置的流程跳转条件一致
保存表单

在表单列表中可以看到该表单记录

流程挂载表单

给指定的流程配置表单

选择表单

挂载成功
发起流程
任务管理-我的流程-新增流程-选择流程-发起流程

点击发起流程


提交请假表单

流程发起成功

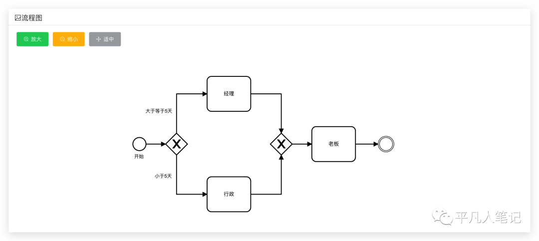
此时的流程图为

从流程图上可以看到来到了经理这里,经理审批了之后,就来到了老板这里

老板审批了之后,流程就结束了

再比如这个流程

文章转载自平凡人笔记,如果涉嫌侵权,请发送邮件至:contact@modb.pro进行举报,并提供相关证据,一经查实,墨天轮将立刻删除相关内容。




