原文链接:http://tecdat.cn/?p=2567
对于这个例子,考虑由具有明显频率变化的正弦波组成的非平稳连续信号。手提钻的振动或烟花声是非平稳连续信号的例子。
以采样频率加载非平稳信号数据fs
,并可视化混合正弦信号。
load('sinusoidalSignalExampleData.mat','X','fs');
xlabel('Time(s)');

观察到混合信号包含具有不同幅度和频率值的正弦波。
为了创建希尔伯特谱图,您需要信号的IMF。执行经验模式分解以计算信号的固有模式函数和残差。由于信号不平滑,请指定' pchip
'作为Interpolation
方法。
\[imf,residual,info\] = emd(X,'Interpolation','pchip');
目前的IMF | #Sift Iter | 相对Tol | 停止标准命中
1 | 2 | 0.026352 | SiftMaxRelativeTolerance
2 | 2 | 0.0039573 | SiftMaxRelativeTolerance
3 | 1 | 0.024838 | SiftMaxRelativeTolerance
4 | 2 | 0.05929 | SiftMaxRelativeTolerance
5 | 2 | 0.11317 | SiftMaxRelativeTolerance
6 | 2 | 0.12599 | SiftMaxRelativeTolerance
7 | 2 | 0.13802 | SiftMaxRelativeTolerance
8 | 3 | 0.15937 | SiftMaxRelativeTolerance
9 | 2 | 0.15923 | SiftMaxRelativeTolerance
分解停止是因为残留信号的极值数小于'MaxNumExtrema'。
在命令窗口中生成的表指示每个生成的IMF的筛选迭代次数,相对容差和筛选停止标准。此信息也包含在info
。您可以通过指定Display
为隐藏表0
。
HHT(IMF,FS);
频率对时间图是一个稀疏图,其中垂直颜色条表示IMF中每个点的瞬时能量。该图表示从原始混合信号分解的每个分量的瞬时频谱。从该图中可以观察到三个IMF,其频率在1s处有明显变化。
点击标题查阅往期内容


左右滑动查看更多

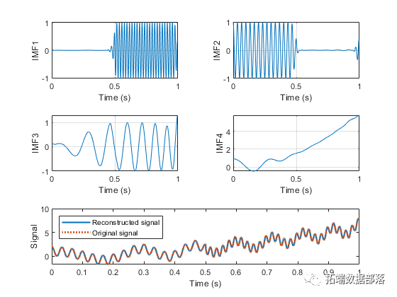
可视化信号的残差和内在模式功能
对于这个例子,考虑由具有明显频率变化的正弦波组成的非平稳连续信号。手提钻的振动或烟花声是非平稳连续信号的例子。
加载非平稳信号数据,并可视化混合正弦信号。
load('sinusoidalSignalExampleData.mat','X','fs');

观察到混合信号包含具有不同幅度和频率值的正弦波。
执行经验模式分解以绘制固有模式函数和信号残差。由于信号不平滑,请指定' pchip
'作为Interpolation
方法。
emd(X,'Interpolation','pchip');
目前的IMF | #Sift Iter | 相对Tol | 停止标准命中
1 | 2 | 0.026352 | SiftMaxRelativeTolerance
2 | 2 | 0.0039573 | SiftMaxRelativeTolerance
3 | 1 | 0.024838 | SiftMaxRelativeTolerance
4 | 2 | 0.05929 | SiftMaxRelativeTolerance
5 | 2 | 0.11317 | SiftMaxRelativeTolerance
6 | 2 | 0.12599 | SiftMaxRelativeTolerance
7 | 2 | 0.13802 | SiftMaxRelativeTolerance
8 | 3 | 0.15937 | SiftMaxRelativeTolerance
9 | 2 | 0.15923 | SiftMaxRelativeTolerance
分解停止是因为残留信号的极值数小于'MaxNumExtrema'。

生成具有原始信号,前3个IMF和残差的交互式图。在命令窗口中生成的表指示每个生成的IMF的筛选迭代次数,相对容差和筛选停止标准。您可以通过指定Display
为隐藏表0
。
右键单击图中的空白区域以打开IMF选择器窗口。使用IMF选择器有选择地查看生成的IMF,原始信号和残差。

从列表中选择要显示的IMF。选择是否在图上显示原始信号和残差。

选定的IMF现在显示在图上。

使用该图可视化从原始信号中分解的各个组件以及残差。请注意,残差是根据IMF总数计算的,并且不会根据IMF选择器窗口中选择的IMF进行更改。
非常感谢您阅读本文,有任何问题请在下方留言!

点击文末“阅读原文”
获取全文完整资料。
本文选自《matlab使用经验模式分解emd 对信号进行去噪》。
点击标题查阅往期内容











