原文链接:http://tecdat.cn/?p=23099
在本文关于如何在R中进行贝叶斯分析。我们介绍贝叶斯分析,这个例子是关于职业足球比赛的进球数。
模型
首先,我们认为职业足球比赛的进球数来自分布
,其中θ是平均进球数。现在假设我们用一位足球专家的意见来得出足球比赛的平均进球数,即参数θ,我们得到:
。
curve(dnorm(x, 2.5, 0.2), from = -2, to = 8,...)

点击标题查阅往期内容


左右滑动查看更多

我们想知道什么?
在这种情况下,我们想知道θ的后验分布是什么样子的,这个分布的平均值是什么。为了做到这一点,我们将在三种情况下分析:
我们有1个观察值x=1,来自分布为
的总体。
我们有3个观测值x=c(1,3,5),来自一个具有
分布的总体。
我们有10个观测值x=c(5,4,3,4,3,2,7,2,4,5),来自一个具有
分布的总体。
理论方法
在这里,我想告诉你贝叶斯分析是如何分析的。首先,我们有一个来自具有未知参数θ的泊松分布的人口的似然函数。

我们知道参数θ的先验分布p(θ)是由以下公式给出的。

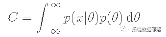
最后,θ的后验分布为。

其中常数C的计算方法如下。

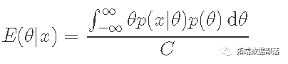
而后验分布E(θ|x)的平均值由以下公式给出。

计算方法
在这里,你将学习如何在R中使用蒙特卡洛模拟来回答上面提出的问题。对于这三种情况,你将遵循以下步骤。
1. 定义数据
首先,你需要根据方案定义数据。
x <- 1 #第一种情况
2. 计算常数C
现在使用蒙特卡洛模拟来计算积分。为此,有必要从先验分布中产生N=10000个值θi,并在似然函数
中评估它们。最后,为了得到C,这些值被平均化。R中的代码如下。
N <- 100000 # 模拟值的数量
rnorm(n=N, mean = 2.5, sd = 0.2) #先验分布
prod(dpois(x=x, lambda = theta)) #似然函数

3. 寻找后验分布
计算完C后,你可以得到后验分布,如下所示。
fvero(theta) * dnorm(x=theta) / C
4. 计算后验分布的平均数
最后你可以使用蒙特卡洛模拟计算积分来获得后验分布的平均值。
integral <- mean(aux)
posterior <- integral/C

结果
如前所述,上面介绍的代码用于所有三种情况,唯一根据情况变化的是x。在这一节中,我们将为每种情况展示一张图,其中包含θ的先验和后验分布、后验分布的平均值(蓝色虚线)和观测值(粉红色的点)。
第一种情况
curve(dnorm(x, 2.5, 0.2), col=4,,x=x, y=rep(0, length(x)),
line,v = mposterior,legend=c("topright", legend=c("后验", "先验"),)

第二种情况

第三种情况

结论
从结果中我们可以得出这样的结论:当我们有很少的观测数据时,如图1和图2,由于缺乏样本证据,后验分布将倾向于类似于先验分布。相反,当我们有大量的观测数据时,如图3,后验分布将偏离先验分布,因为数据将有更大的影响。
我希望你喜欢这篇文章并了解贝叶斯统计。我鼓励你用其他分布运行这个程序。

点击文末“阅读原文”
获取全文完整资料。
本文选自《R语言贝叶斯Poisson泊松-正态分布模型分析职业足球比赛进球数》。
点击标题查阅往期内容











