原文链接:http://tecdat.cn/?p=17906
本文简要介绍一下网络分析,我想提供一些有关“友谊悖论”的R语言例证。友谊悖论指出
平均而言:你的朋友 比你拥有更多的朋友
例如,这在 Feld(1991),Zuckerman&Jost(2001)中进行了讨论%20What%20Makes%20You%20Think%20You%27re%20So%20Popular1.pdf "Zuckerman&Jost(2001)中进行了讨论")。首先,让我们获取数据集的副本
library(networkD3)
simpleNetwork(data\[,1:2\]
点击标题查阅往期内容


左右滑动查看更多

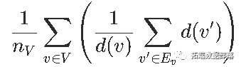
考虑无向图中的顶点v∈V,G =(V,E)(使用经典图形符号),并令d(v)表示它的边数(即v具有d(v)个朋友)。图中随机人的平均好友数为



从而,

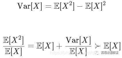
方差分解

回到我们的网络。节点列表是
rbind(as.matrix(GoT\[,1:2\]),as.matrix(GoT\[,2:1\])
unique(M\[,1\]
我们每个人都可以得到朋友列表和朋友数量
as.character(M\[which(M\[,1\]==x),2\]
Vectorize(function(x) length(friends(x)
以及朋友拥有的朋友数量,以及平均的朋友数量
(Vectorize(function(x) length(friends(x)))(friends(y
Vectorize(function(x) mean(friends\_of\_friends(x我们可以查看一个随机节点的朋友数量的密度,
lines(density(Nb),col="red",
lines(density(Nb2),col="blue",

我们还可以计算平均值
mean(Nb)
\[1\] 6.579439
mean(Nb2)
\[1\] 13.94243
因此,实际上,人们平均拥有的朋友少于他们的朋友。

点击文末“阅读原文”
获取全文完整资料。
本文选自《R语言网络分析友谊悖论案例》。
点击标题查阅往期内容



文章转载自拓端数据部落,如果涉嫌侵权,请发送邮件至:contact@modb.pro进行举报,并提供相关证据,一经查实,墨天轮将立刻删除相关内容。









